Suppr超能文献

针灸治疗暴露与心力衰竭患者死亡率之间的关联:一项全国性队列研究。

Association between acupuncture treatment exposure and mortality in patients with heart failure: a nationwide cohort study.

作者信息

Jun Hyungsun, Jin Hanbit, Kim Haerim, Leem Jungtae

机构信息

Department of Diagnostics, College of Korean Medicine, Wonkwang University, Iksan, Republic of Korea.

Department of Preventive Medicine, College of Korean Medicine, Dongshin University, Naju, Republic of Korea.

出版信息

Front Cardiovasc Med. 2025 Jul 15;12:1461302. doi: 10.3389/fcvm.2025.1461302. eCollection 2025.

Abstract

INTRODUCTION

Patients with heart failure (HF) require continuous management, creating a need for alternative treatments to reduce mortality. In Korea, acupuncture treatment is covered by national health insurance, offering accessible care without financial burden. Hence, this study utilized claims data from the Korean National Health Insurance Service to examine the association between acupuncture exposure and mortality in patients with HF.

METHODS

Adults aged 20 years or older with newly diagnosed HF were included. Patients who received two or more acupuncture sessions within one year of diagnosis comprised the acupuncture treatment-exposed group (AT group), while those who received none were classified as the non-exposed group (non-AT group). Propensity score matching was used to generate a balanced 1:1 matched cohort. From one year after diagnosis, the study tracked circulatory and all-cause mortality over a five-year period, performing survival and dose-response analyses.

RESULTS

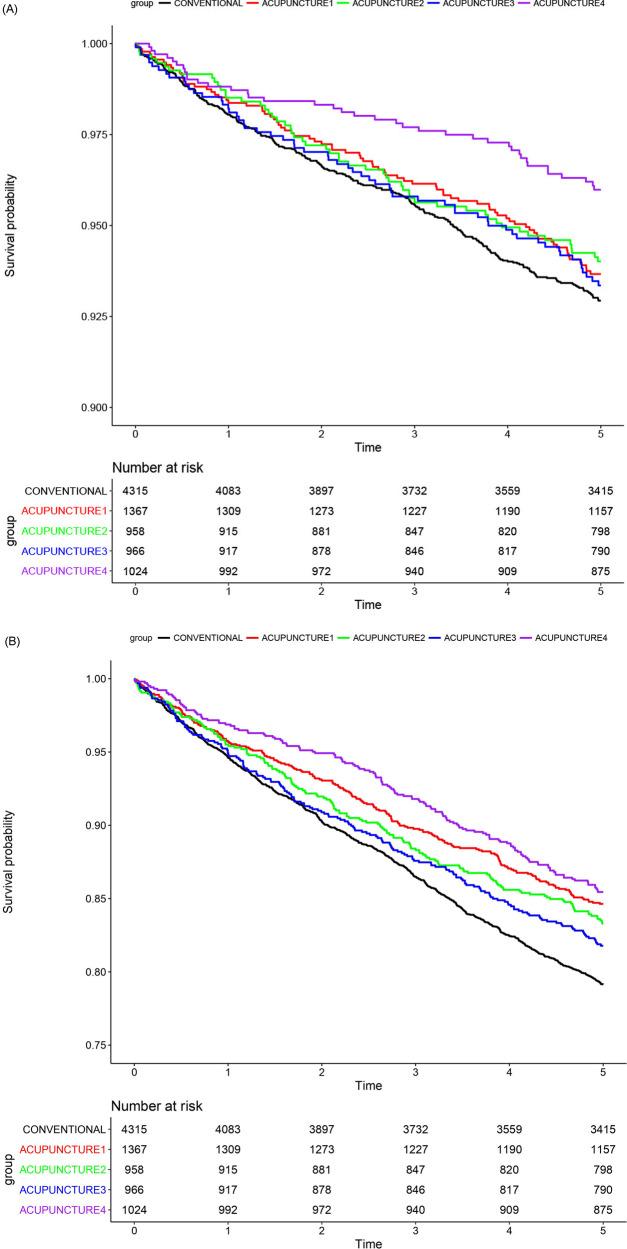
Each group included 4,315 patients, and the AT group showed significantly lower adjusted hazard ratios (aHRs) for circulatory disease-related mortality (0.79; 95% CI: 0.67-0.94) and all-cause mortality (0.73; 95% CI: 0.66-0.81). A clear dose-response relationship was observed, with greater exposure to acupuncture associated with lower aHRs.

DISCUSSION

Acupuncture within one year of HF diagnosis correlated with lower mortality from circulatory diseases and all causes. Future studies should adopt prospective and methodologically rigorous designs to validate the findings of this study.

摘要

引言

心力衰竭(HF)患者需要持续管理,因此需要替代治疗以降低死亡率。在韩国,针灸治疗纳入了国家健康保险范围,患者可免费接受治疗。因此,本研究利用韩国国民健康保险服务的理赔数据,探讨针灸治疗与HF患者死亡率之间的关联。

方法

纳入20岁及以上新诊断为HF的成年人。在诊断后一年内接受两次或更多次针灸治疗的患者组成针灸治疗暴露组(AT组),未接受针灸治疗的患者则分为非暴露组(非AT组)。采用倾向评分匹配法生成1:1的平衡匹配队列。从诊断后一年开始,研究跟踪了五年内的循环系统疾病死亡率和全因死亡率,并进行了生存分析和剂量反应分析。

结果

每组各有4315例患者,AT组的循环系统疾病相关死亡率(调整风险比[aHRs]为0.79;95%置信区间[CI]:0.67-0.94)和全因死亡率(aHRs为0.73;95%CI:0.66-0.81)的调整后风险比显著更低。观察到明确的剂量反应关系,针灸治疗暴露越多,aHRs越低。

讨论

HF诊断后一年内进行针灸治疗与循环系统疾病和全因死亡率降低相关。未来的研究应采用前瞻性且方法严谨的设计,以验证本研究的结果。

https://cdn.ncbi.nlm.nih.gov/pmc/blobs/4805/12305702/262aaca6f977/fcvm-12-1461302-g001.jpg

文献AI研究员

20分钟写一篇综述,助力文献阅读效率提升50倍。

立即体验

用中文搜PubMed

大模型驱动的PubMed中文搜索引擎

马上搜索

文档翻译

学术文献翻译模型,支持多种主流文档格式。

立即体验