Suppr超能文献

基于套索-列线图的老年维持性血液透析患者认知衰弱风险预测模型的开发

Development of a Lasso-Nomogram-Based Risk Prediction Model for Cognitive Frailty in Elderly MHD Patients.

作者信息

Xia Ning-Ning, Liu Jing, Wang Hongying

机构信息

Blood Purification Center, Nanjing BenQ Medical Center, the Affiliated BenQ Hospital of Nanjing Medical University, Nanjing, Jiangsu Province, People's Republic of China.

出版信息

Neuropsychiatr Dis Treat. 2025 Aug 12;21:1637-1650. doi: 10.2147/NDT.S533696. eCollection 2025.

Abstract

INTRODUCTION

Cognitive frailty is increasingly recognized among older adults receiving maintenance hemodialysis (MHD), yet effective screening tools tailored for this population are lacking. This study aimed to develop a predictive model to identify MHD patients of advanced age who are at high risk for cognitive frailty, thereby facilitating early detection and intervention.

METHODS

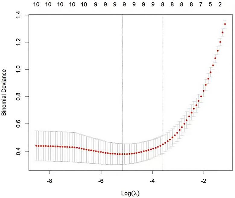
A cross-sectional study was conducted between February and December 2024, enrolling 223 older individuals undergoing MHD at a tertiary hospital in Nanjing, China. Data on demographic and clinical characteristics were collected, along with assessments using standardized instruments, including the Kidney Disease Quality of Life Instrument, Geriatric Depression Scale-5, Subjective Cognitive Decline Questionnaire-9, Montreal Cognitive Assessment, Clinical Dementia Rating, Fried Frailty Phenotype, and Cognitive Reserve Index Questionnaire. Least absolute shrinkage and selection operator (LASSO) regression was used to identify relevant variables, which were subsequently entered into multivariate logistic regression to determine independent risk factors. A nomogram was constructed based on the final model.

RESULTS

Cognitive frailty was identified in 85 patients, indicating a prevalence of 38.1%. Eight variables were found to be independent risk factors: serum phosphorus, hemoglobin level, depression score, cognitive reserve, age, dialysis duration, dialysis adequacy (Kt/V), and intradialytic hypotension. The predictive nomogram showed excellent discriminative performance, with an area under the receiver operating characteristic curve of 0.986 (95% confidence interval: 0.970-0.999), sensitivity of 94.9%, and specificity of 97.6%. Decision curve analysis demonstrated favorable clinical utility.

CONCLUSION

Cognitive frailty is prevalent among older patients receiving MHD. The nomogram incorporating eight key variables provides a practical tool for early screening and personalized intervention in this high-risk population.

摘要

引言

在接受维持性血液透析(MHD)的老年人中,认知衰弱越来越受到关注,但针对该人群的有效筛查工具却很缺乏。本研究旨在开发一种预测模型,以识别高龄且有认知衰弱高风险的MHD患者,从而促进早期发现和干预。

方法

于2024年2月至12月进行了一项横断面研究,纳入了中国南京一家三级医院的223名接受MHD的老年人。收集了人口统计学和临床特征数据,并使用标准化工具进行评估,包括肾脏病生活质量量表、老年抑郁量表-5、主观认知下降问卷-9、蒙特利尔认知评估、临床痴呆评定量表、弗里德衰弱表型和认知储备指数问卷。使用最小绝对收缩和选择算子(LASSO)回归来识别相关变量,随后将这些变量纳入多变量逻辑回归以确定独立危险因素。基于最终模型构建了列线图。

结果

85名患者被确定为认知衰弱,患病率为38.1%。发现8个变量为独立危险因素:血清磷、血红蛋白水平、抑郁评分、认知储备、年龄、透析时间、透析充分性(Kt/V)和透析中低血压。预测列线图显示出出色的判别性能,受试者操作特征曲线下面积为0.986(95%置信区间:0.970-0.999),敏感性为94.9%,特异性为97.6%。决策曲线分析显示出良好的临床实用性。

结论

认知衰弱在接受MHD的老年患者中很普遍。包含8个关键变量的列线图为这一高风险人群的早期筛查和个性化干预提供了一种实用工具。

https://cdn.ncbi.nlm.nih.gov/pmc/blobs/cec8/12357605/cfd97e5f1662/NDT-21-1637-g0001.jpg

文献AI研究员

20分钟写一篇综述,助力文献阅读效率提升50倍。

立即体验

用中文搜PubMed

大模型驱动的PubMed中文搜索引擎

马上搜索

文档翻译

学术文献翻译模型,支持多种主流文档格式。

立即体验