Suppr超能文献

基于系统药理学的麻杏石甘汤成分优化,以增强对传染性支气管炎病毒引起的雏鸡健康问题的治疗效果。

Systems pharmacology-based optimization of Ma Xing Shi Gan components for the enhanced treatment of chick health issues caused by infectious bronchitis virus.

作者信息

Liu Huixin, He Yang, Wang Chenchen, Wei Xiaofang, Chen Jiayi, Wang Kaijun

机构信息

Hunan Provincial Key Laboratory of the Traditional Chinese Medicine Agricultural Biogenomics, Changsha Medical University, Changsha, China.

Animal Experiment Center of Sichuan Academy of Chinese Medicine Sciences, Chengdu, China.

出版信息

Front Cell Infect Microbiol. 2025 Aug 7;15:1585293. doi: 10.3389/fcimb.2025.1585293. eCollection 2025.

Abstract

INTRODUCTION

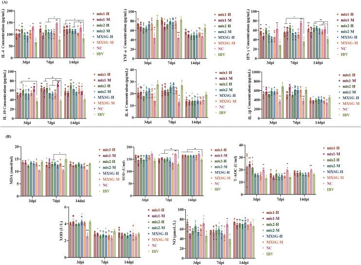
Infectious bronchitis virus (IBV) imposes severe economic burdens on the poultry industry, and current treatments face challenges in efficacy and sustainability, necessitating the development of novel therapeutic strategies. To address this, this study employed the Traditional Chinese Medicine Inheritance Computing Platform (TCMICS) to collect clinical prescriptions for IBV treatment, based on which two optimized versions of the traditional Chinese medicine Maxing Shigan Decoction (MXSG), namely MXSG-mix1 and MXSG-mix2, were designed. In vitro cell culture and in vivo chicken model experiments were then carried out, including egg testing, clinical symptom observation, immune function analysis, and viral load quantification, to assess the antiviral activity of the optimized formulations.

METHODS

To explore the underlying mechanisms, liquid chromatography-mass spectrometry (LC-MS) was combined with network pharmacology to identify 28 active compounds in MXSG-mix and 47 key genes involved in viral replication, inflammation, and apoptosis pathways. Furthermore, molecular docking and RT-qPCR were performed, which confirmed that MXSG-mix downregulated BCL2 expression and interacted with AKT1 and CASP3, thus inhibiting IBV-induced cell apoptosis.

RESULTS AND DISCUSSION

The results showed that both MXSG-mix1 and MXSG-mix2 exhibited superior anti-IBV activity compared to traditional MXSG, effectively reducing viral load and improving immune responses in vivo. In conclusion, integrating TCMICS, LC-MS, and network pharmacology offers a novel paradigm for developing veterinary TCM formulations. The optimized MXSG-mix shows potential as an effective, multi-target therapeutic against IBV, providing valuable insights for future anti-viral drug development in poultry medicine.

摘要

引言

传染性支气管炎病毒(IBV)给家禽业带来了沉重的经济负担,目前的治疗方法在疗效和可持续性方面面临挑战,因此需要开发新的治疗策略。为解决这一问题,本研究利用中医传承计算平台(TCMICS)收集治疗IBV的临床处方,并在此基础上设计了两个优化版的中药麻杏石甘汤(MXSG),即MXSG-mix1和MXSG-mix2。随后进行了体外细胞培养和体内鸡模型实验,包括鸡蛋检测、临床症状观察、免疫功能分析和病毒载量定量,以评估优化配方的抗病毒活性。

方法

为探究其潜在机制,将液相色谱-质谱联用(LC-MS)与网络药理学相结合,以鉴定MXSG-mix中的28种活性化合物以及参与病毒复制、炎症和凋亡途径的47个关键基因。此外,还进行了分子对接和RT-qPCR实验,证实MXSG-mix下调了BCL2的表达,并与AKT1和CASP3相互作用,从而抑制了IBV诱导的细胞凋亡。

结果与讨论

结果表明,与传统的MXSG相比,MXSG-mix1和MXSG-mix2均表现出更强的抗IBV活性,能有效降低体内病毒载量并改善免疫反应。总之,整合TCMICS、LC-MS和网络药理学为开发兽用中药配方提供了一种新的模式。优化后的MXSG-mix显示出作为一种有效、多靶点治疗IBV药物的潜力,为未来家禽医学中的抗病毒药物开发提供了有价值的见解。

https://cdn.ncbi.nlm.nih.gov/pmc/blobs/695d/12367666/e14c5aa45b64/fcimb-15-1585293-g001.jpg

文献AI研究员

20分钟写一篇综述,助力文献阅读效率提升50倍。

立即体验

用中文搜PubMed

大模型驱动的PubMed中文搜索引擎

马上搜索

文档翻译

学术文献翻译模型,支持多种主流文档格式。

立即体验