Suppr超能文献

RON2-AMA1 相互作用是顶复门寄生虫依赖连接点进行入侵的关键步骤。

The RON2-AMA1 interaction is a critical step in moving junction-dependent invasion by apicomplexan parasites.

机构信息

UMR 5235 CNRS, Université de Montpellier 2, Montpellier, France.

出版信息

PLoS Pathog. 2011 Feb 10;7(2):e1001276. doi: 10.1371/journal.ppat.1001276.

Abstract

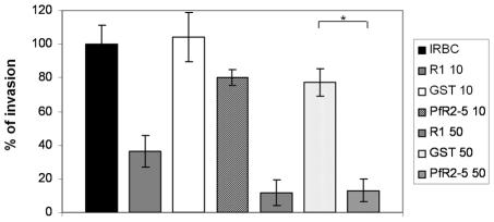
Obligate intracellular Apicomplexa parasites share a unique invasion mechanism involving a tight interaction between the host cell and the parasite surfaces called the moving junction (MJ). The MJ, which is the anchoring structure for the invasion process, is formed by secretion of a macromolecular complex (RON2/4/5/8), derived from secretory organelles called rhoptries, into the host cell membrane. AMA1, a protein secreted from micronemes and associated with the parasite surface during invasion, has been shown in vitro to bind the MJ complex through a direct association with RON2. Here we show that RON2 is inserted as an integral membrane protein in the host cell and, using several interaction assays with native or recombinant proteins, we define the region that binds AMA1. Our studies were performed both in Toxoplasma gondii and Plasmodium falciparum and although AMA1 and RON2 proteins have diverged between Apicomplexa species, we show an intra-species conservation of their interaction. More importantly, invasion inhibition assays using recombinant proteins demonstrate that the RON2-AMA1 interaction is crucial for both T. gondii and P. falciparum entry into their host cells. This work provides the first evidence that AMA1 uses the rhoptry neck protein RON2 as a receptor to promote invasion by Apicomplexa parasites.

摘要

专性细胞内顶复门寄生虫具有独特的入侵机制,涉及宿主细胞与寄生虫表面之间的紧密相互作用,称为运动连接(MJ)。MJ 是入侵过程的锚固结构,由称为棒状体的分泌细胞器分泌的大分子复合物(RON2/4/5/8)形成并进入宿主细胞膜。在体外研究中,被分泌到微线体并在入侵过程中与寄生虫表面相关联的 AMA1 蛋白已被证明通过与 RON2 的直接关联来结合 MJ 复合物。在这里,我们表明 RON2 作为整合膜蛋白插入宿主细胞中,并使用几种与天然或重组蛋白的相互作用测定来定义与 AMA1 结合的区域。我们的研究在刚地弓形虫和恶性疟原虫中进行,尽管 AMA1 和 RON2 蛋白在顶复门物种之间已经发生了分化,但我们表明它们的相互作用在种内是保守的。更重要的是,使用重组蛋白进行的入侵抑制测定表明,RON2-AMA1 相互作用对于刚地弓形虫和恶性疟原虫进入宿主细胞都是至关重要的。这项工作首次提供了证据表明 AMA1 利用棒状体颈蛋白 RON2 作为受体来促进顶复门寄生虫的入侵。

https://cdn.ncbi.nlm.nih.gov/pmc/blobs/680b/3037350/ca9193c1a5f7/ppat.1001276.g001.jpg

文献AI研究员

20分钟写一篇综述,助力文献阅读效率提升50倍。

立即体验

用中文搜PubMed

大模型驱动的PubMed中文搜索引擎

马上搜索

文档翻译

学术文献翻译模型,支持多种主流文档格式。

立即体验