Suppr超能文献

循环 microRNA-200 家族成员水平升高与浆液性上皮性卵巢癌相关。

Elevated levels of circulating microRNA-200 family members correlate with serous epithelial ovarian cancer.

机构信息

Hormones and Cancer Division, Kolling Institute of Medical Research, University of Sydney E25, Royal North Shore Hospital, St Leonards, NSW, Australia.

出版信息

BMC Cancer. 2012 Dec 28;12:627. doi: 10.1186/1471-2407-12-627.

Abstract

BACKGROUND

There is a critical need for improved diagnostic markers for high grade serous epithelial ovarian cancer (SEOC). MicroRNAs are stable in the circulation and may have utility as biomarkers of malignancy. We investigated whether levels of serum microRNA could discriminate women with high-grade SEOC from age matched healthy volunteers.

METHODS

To identify microRNA of interest, microRNA expression profiling was performed on 4 SEOC cell lines and normal human ovarian surface epithelial cells. Total RNA was extracted from 500 μL aliquots of serum collected from patients with SEOC (n = 28) and age-matched healthy donors (n = 28). Serum microRNA levels were assessed by quantitative RT-PCR following preamplification.

RESULTS

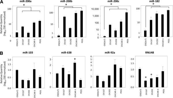
microRNA (miR)-182, miR-200a, miR-200b and miR-200c were highly overexpressed in the SEOC cell lines relative to normal human ovarian surface epithelial cells and were assessed in RNA extracted from serum as candidate biomarkers. miR-103, miR-92a and miR -638 had relatively invariant expression across all ovarian cell lines, and with small-nucleolar C/D box 48 (RNU48) were assessed in RNA extracted from serum as candidate endogenous normalizers. No correlation between serum levels and age were observed (age range 30-79 years) for any of these microRNA or RNU48. Individually, miR-200a, miR-200b and miR-200c normalized to serum volume and miR-103 were significantly higher in serum of the SEOC cohort (P < 0.05; 0.05; 0.0005 respectively) and in combination, miR-200b + miR-200c normalized to serum volume and miR-103 was the best predictive classifier of SEOC (ROC-AUC = 0.784). This predictive model (miR-200b + miR-200c) was further confirmed by leave one out cross validation (AUC = 0.784).

CONCLUSIONS

We identified serum microRNAs able to discriminate patients with high grade SEOC from age-matched healthy controls. The addition of these microRNAs to current testing regimes may improve diagnosis for women with SEOC.

摘要

背景

提高高级别浆液性上皮性卵巢癌(SEOC)的诊断标志物存在迫切需求。microRNA 在循环中稳定存在,可能具有作为恶性肿瘤生物标志物的应用价值。我们研究了血清 microRNA 水平是否可以区分高级别 SEOC 女性与年龄匹配的健康志愿者。

方法

为了确定感兴趣的 microRNA,我们对 4 种 SEOC 细胞系和正常人类卵巢表面上皮细胞进行了 microRNA 表达谱分析。从 SEOC 患者(n=28)和年龄匹配的健康供体(n=28)采集的 500μL 等分血清中提取总 RNA。在进行预扩增后,通过定量 RT-PCR 评估血清 microRNA 水平。

结果

与正常人类卵巢表面上皮细胞相比,SEOC 细胞系中 microRNA(miR)-182、miR-200a、miR-200b 和 miR-200c 高度过表达,并在从血清中提取的 RNA 中作为候选生物标志物进行评估。miR-103、miR-92a 和 miR-638 在所有卵巢细胞系中表达相对不变,与核仁小 C/D 盒 48(RNU48)一起在从血清中提取的 RNA 中作为候选内参进行评估。在任何这些 microRNA 或 RNU48 中,均未观察到血清水平与年龄之间的相关性(年龄范围 30-79 岁)。单独而言,miR-200a、miR-200b 和 miR-200c 与血清体积归一化,miR-103 在 SEOC 队列的血清中显著更高(P<0.05;0.05;0.0005 分别),并且组合使用时,miR-200b+miR-200c 与血清体积归一化,miR-103 是 SEOC 的最佳预测分类器(ROC-AUC=0.784)。通过留一法交叉验证进一步证实了该预测模型(miR-200b+miR-200c)(AUC=0.784)。

结论

我们确定了能够区分高级别 SEOC 患者与年龄匹配的健康对照者的血清 microRNA。将这些 microRNA 添加到当前的检测方案中可能会改善 SEOC 女性的诊断。

https://cdn.ncbi.nlm.nih.gov/pmc/blobs/8669/3542279/72b7e84c805c/1471-2407-12-627-1.jpg

文献AI研究员

20分钟写一篇综述,助力文献阅读效率提升50倍。

立即体验

用中文搜PubMed

大模型驱动的PubMed中文搜索引擎

马上搜索

文档翻译

学术文献翻译模型,支持多种主流文档格式。

立即体验