Suppr超能文献

建模铜绿假单胞菌和洋葱伯克霍尔德菌对囊性纤维化肺的共感染揭示了对生物膜形成和宿主反应的影响。

Modelling co-infection of the cystic fibrosis lung by Pseudomonas aeruginosa and Burkholderia cenocepacia reveals influences on biofilm formation and host response.

机构信息

Division of Immunology, Transplantation and Infectious Diseases, Infections and Cystic Fibrosis Unit, San Raffaele Scientific Institute, Milan, Italy.

出版信息

PLoS One. 2012;7(12):e52330. doi: 10.1371/journal.pone.0052330. Epub 2012 Dec 21.

Abstract

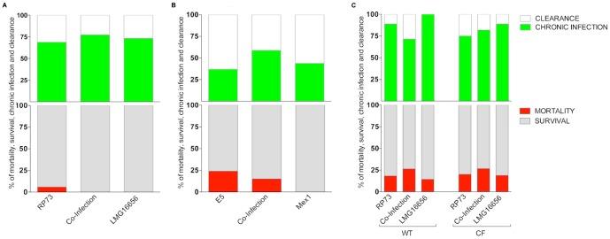
The Gram-negative bacteria Pseudomonas aeruginosa and Burkholderia cenocepacia are opportunistic human pathogens that are responsible for severe nosocomial infections in immunocompromised patients and those suffering from cystic fibrosis (CF). These two bacteria have been shown to form biofilms in the airways of CF patients that make such infections more difficult to treat. Only recently have scientists begun to appreciate the complicated interplay between microorganisms during polymicrobial infection of the CF airway and the implications they may have for disease prognosis and response to therapy.To gain insight into the possible role that interaction between strains of P. aeruginosa and B. cenocepacia may play during infection, we characterised co-inoculations of in vivo and in vitro infection models. Co-inoculations were examined in an in vitro biofilm model and in a murine model of chronic infection. Assessment of biofilm formation showed that B. cenocepacia positively influenced P. aeruginosa biofilm development by increasing biomass. Interestingly, co-infection experiments in the mouse model revealed that P. aeruginosa did not change its ability to establish chronic infection in the presence of B. cenocepacia but co-infection did appear to increase host inflammatory response.Taken together, these results indicate that the co-infection of P. aeruginosa and B. cenocepacia leads to increased biofilm formation and increased host inflammatory response in the mouse model of chronic infection. These observations suggest that alteration of bacterial behavior due to interspecies interactions may be important for disease progression and persistent infection.

摘要

铜绿假单胞菌和洋葱伯克霍尔德菌是革兰氏阴性机会致病菌,会导致免疫功能低下患者和囊性纤维化(CF)患者发生严重的医院获得性感染。这两种细菌已被证实会在 CF 患者的气道中形成生物膜,使此类感染更难治疗。直到最近,科学家们才开始意识到在 CF 气道的多微生物感染中,微生物之间复杂的相互作用及其对疾病预后和治疗反应的影响。

为了深入了解铜绿假单胞菌和洋葱伯克霍尔德菌菌株之间的相互作用在感染过程中可能发挥的作用,我们对体内和体外感染模型的共同接种进行了特征描述。在体外生物膜模型和慢性感染的小鼠模型中检查了共同接种。生物膜形成的评估表明,B. cenocepacia 通过增加生物量,对 P. aeruginosa 生物膜的形成产生积极影响。有趣的是,在小鼠模型中的共感染实验表明,P. aeruginosa 在存在 B. cenocepacia 的情况下并未改变其建立慢性感染的能力,但共感染似乎确实增加了宿主的炎症反应。

总之,这些结果表明,在慢性感染的小鼠模型中,铜绿假单胞菌和洋葱伯克霍尔德菌的共同感染会导致生物膜形成增加和宿主炎症反应增加。这些观察结果表明,由于种间相互作用而改变细菌行为可能对疾病进展和持续感染很重要。

https://cdn.ncbi.nlm.nih.gov/pmc/blobs/1fc6/3528780/c4f7e86f2050/pone.0052330.g001.jpg

文献AI研究员

20分钟写一篇综述,助力文献阅读效率提升50倍。

立即体验

用中文搜PubMed

大模型驱动的PubMed中文搜索引擎

马上搜索

文档翻译

学术文献翻译模型,支持多种主流文档格式。

立即体验