Suppr超能文献

为野生来源的小鼠品系设计辅助生殖技术:小家鼠五个亚种的37个品系。

Devising assisted reproductive technologies for wild-derived strains of mice: 37 strains from five subspecies of Mus musculus.

作者信息

Mochida Keiji, Hasegawa Ayumi, Otaka Naoki, Hama Daiki, Furuya Takashi, Yamaguchi Masaki, Ichikawa Eri, Ijuin Maiko, Taguma Kyuichi, Hashimoto Michiko, Takashima Rika, Kadota Masayo, Hiraiwa Noriko, Mekada Kazuyuki, Yoshiki Atsushi, Ogura Atsuo

机构信息

RIKEN BioResouce Center, Tsukuba, Ibaraki, Japan.

RIKEN BioResouce Center, Tsukuba, Ibaraki, Japan; Graduate School of Life and Environmental Science, University of Tsukuba, Tsukuba, Ibaraki, Japan; Center for Disease Biology and Integrative Medicine, Faculty of Medicine, University of Tokyo, Bunkyo-ku, Tokyo, Japan.

出版信息

PLoS One. 2014 Dec 3;9(12):e114305. doi: 10.1371/journal.pone.0114305. eCollection 2014.

Abstract

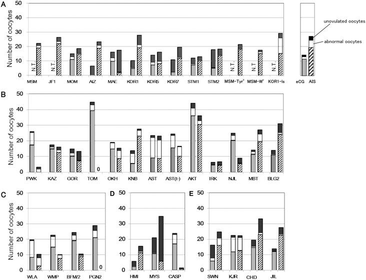
Wild-derived mice have long offered invaluable experimental models for mouse genetics because of their high evolutionary divergence from laboratory mice. A number of wild-derived strains are available from the RIKEN BioResource Center (BRC), but they have been maintained as living stocks because of the unavailability of assisted reproductive technology (ART). In this study, we sought to devise ART for 37 wild-derived strains from five subspecies of Mus musculus maintained at the BRC. Superovulation of females was effective (more than 15 oocytes per female) for 34 out of 37 strains by treatment with either equine chorionic gonadotropin or anti-inhibin serum, depending on their genetic background (subspecies). The collected oocytes could be fertilized in vitro at mean rates of 79.0% and 54.6% by the optimized protocol using fresh or frozen-thawed spermatozoa, respectively. They were cryopreserved at the 2-cell stage by vitrification with an ethylene glycol-based solution. In total, 94.6% of cryopreserved embryos survived the vitrification procedure and restored their normal morphology after warming. A conventional embryo transfer protocol could be applied to 25 out of the 35 strains tested. In the remaining 10 strains, live offspring could be obtained by a modified embryo transfer protocol using cyclosporin A treatment and co-transfer of ICR (laboratory mouse strain) embryos. Thus, ART for 37 wild-derived strains was devised successfully and is now routinely used for their preservation and transportation. The information provided here might facilitate broader use and wider distribution of wild-derived mice for biomedical research.

摘要

由于野生来源的小鼠与实验室小鼠在进化上有很大差异,长期以来一直是小鼠遗传学中非常有价值的实验模型。日本理化研究所生物资源中心(BRC)提供了许多野生来源的品系,但由于辅助生殖技术(ART)不可用,它们一直作为活体保存。在本研究中,我们试图为保存在BRC的小家鼠五个亚种的37个野生来源品系设计ART。根据其遗传背景(亚种),用马绒毛膜促性腺激素或抗抑制素血清处理,37个品系中的34个品系的雌性超排卵有效(每只雌性超过15个卵母细胞)。使用新鲜或冷冻解冻的精子,通过优化方案,收集的卵母细胞体外受精的平均率分别为79.0%和54.6%。它们在2细胞阶段用基于乙二醇的溶液进行玻璃化冷冻保存。总的来说,94.6%的冷冻保存胚胎在玻璃化过程中存活下来,并在解冻后恢复正常形态。常规的胚胎移植方案可应用于测试的35个品系中的25个。在其余10个品系中,通过使用环孢素A处理和共同移植ICR(实验室小鼠品系)胚胎的改良胚胎移植方案可以获得活的后代。因此,成功设计了37个野生来源品系的ART,现在已常规用于它们的保存和运输。这里提供的信息可能有助于更广泛地使用和更广泛地分发野生来源的小鼠用于生物医学研究。

https://cdn.ncbi.nlm.nih.gov/pmc/blobs/e565/4254977/24b5627eb5e3/pone.0114305.g001.jpg

文献AI研究员

20分钟写一篇综述,助力文献阅读效率提升50倍。

立即体验

用中文搜PubMed

大模型驱动的PubMed中文搜索引擎

马上搜索

文档翻译

学术文献翻译模型,支持多种主流文档格式。

立即体验