Suppr超能文献

基于Fe3O4@ZnO的用于检测Fe(3+)的高选择性荧光化学传感器。

Highly selective fluorescent chemosensor for detection of Fe(3+) based on Fe3O4@ZnO.

作者信息

Li Jingshuai, Wang Qi, Guo Zhankui, Ma Hongmin, Zhang Yong, Wang Bing, Bin Du, Wei Qin

机构信息

Key Laboratory of Chemical Sensing &Analysis in Universities of Shandong, School of Chemistry and Chemical Engineering, University of Jinan, Jinan 250022, P.R. China.

School of Material Science and Engineering, University of Jinan, Jinan 250022, P.R. China.

出版信息

Sci Rep. 2016 Mar 22;6:23558. doi: 10.1038/srep23558.

Abstract

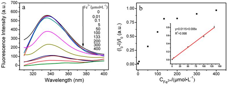
The combination of fluorescent nanoparticles and specific molecular probes appears to be a promising strategy for developing fluorescent nanoprobes. In this work, L-cysteine (L-Cys) capped Fe3O4@ZnO core-shell nanoparticles were synthesized for the highly selective detection of Fe(3+). The proposed nanoprobe shows excellent fluorescent property and high selectivity for Fe(3+) due to the binding affinity of L-Cys with Fe(3+). The binding of Fe(3+) to the nanoprobe induces an apparent decrease of the fluorescence. Thus a highly selective fluorescent chemosensor for Fe(3+) was proposed based on Fe3O4@ZnO nanoprobe. The magnetism of the nanoprobe enables the facile separation of bound Fe(3+) from the sample solution with an external magnetic field, which effectively reduces the interference of matrix. The detection limit was 3 nmol L(-1) with a rapid response time of less than 1 min. The proposed method was applied to detect Fe(3+) in both serum and wastewater samples with acceptable performance. All above features indicated that the proposed fluorescent probe as sensing platform held great potential in applications of biological and analytical field.

摘要

荧光纳米颗粒与特定分子探针的结合似乎是开发荧光纳米探针的一种有前景的策略。在这项工作中,合成了L-半胱氨酸(L-Cys)包覆的Fe3O4@ZnO核壳纳米颗粒,用于对Fe(3+)进行高选择性检测。由于L-Cys与Fe(3+)的结合亲和力,所提出的纳米探针表现出优异的荧光性能和对Fe(3+)的高选择性。Fe(3+)与纳米探针的结合导致荧光明显降低。因此,基于Fe3O4@ZnO纳米探针提出了一种用于Fe(3+)的高选择性荧光化学传感器。纳米探针的磁性使得能够通过外部磁场轻松地从样品溶液中分离出结合的Fe(3+),这有效地减少了基质的干扰。检测限为3 nmol L(-1),响应时间快速,小于1分钟。所提出的方法应用于血清和废水样品中Fe(3+)的检测,性能良好。上述所有特征表明,所提出的作为传感平台的荧光探针在生物和分析领域的应用中具有巨大潜力。

https://cdn.ncbi.nlm.nih.gov/pmc/blobs/2232/4802302/3926243dbee3/srep23558-f1.jpg

文献AI研究员

20分钟写一篇综述,助力文献阅读效率提升50倍。

立即体验

用中文搜PubMed

大模型驱动的PubMed中文搜索引擎

马上搜索

文档翻译

学术文献翻译模型,支持多种主流文档格式。

立即体验