Suppr超能文献

在纵向数据集中检测端粒延长:对西蒙斯、斯图普和中川所提一项提议的分析

Detecting telomere elongation in longitudinal datasets: analysis of a proposal by Simons, Stulp and Nakagawa.

作者信息

Nettle Daniel, Bateson Melissa

机构信息

Centre for Behaviour and Evolution & Institute of Neuroscience, Newcastle University, United Kingdom.

出版信息

PeerJ. 2017 Apr 27;5:e3265. doi: 10.7717/peerj.3265. eCollection 2017.

Abstract

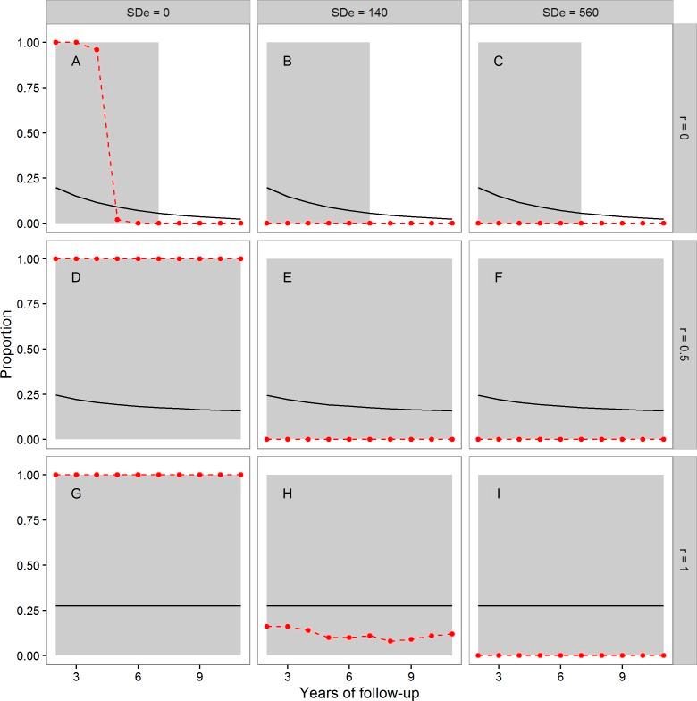
Telomere shortening has emerged as an important biomarker of aging. Longitudinal studies consistently find that, although telomere length shortens over time on average, there is a subset of individuals for whom telomere length is observed to increase. This apparent lengthening could either be a genuine biological phenomenon, or simply due to measurement and sampling error. Simons, Stulp & Nakagawa (2014) recently proposed a statistical test for detecting when the amount of apparent lengthening in a dataset exceeds that which should be expected due to error, and thus indicating that genuine elongation may be operative in some individuals. However, the test is based on a restrictive assumption, namely that each individual's true rate of telomere change is constant over time. It is not currently known whether this assumption is true. Here we show, using simulated datasets, that with perfect measurement and large sample size, the test has high power to detect true lengthening as long as the true rate of change is either constant, or moderately stable, over time. If the true rate of change varies randomly from year to year, the test systematically returns type-II errors (false negatives; that is, failures to detect lengthening even when a substantial fraction of the population truly lengthens each year). We also consider the impact of measurement error. Using estimates of the magnitude of annual attrition and of measurement error derived from the human telomere literature, we show that power of the test is likely to be low in several empirically-realistic scenarios, even in large samples. Thus, whilst a significant result of the proposed test is likely to indicate that true lengthening is present in a data set, type-II errors are a likely outcome, either if measurement error is substantial, and/or the true rate of telomere change varies substantially over time within individuals.

摘要

端粒缩短已成为衰老的一个重要生物标志物。纵向研究一致发现,尽管端粒长度平均会随着时间推移而缩短,但仍有一部分个体的端粒长度会增加。这种明显的延长可能是一种真正的生物学现象,也可能仅仅是由于测量和抽样误差所致。西蒙斯、斯图普和中川(2014年)最近提出了一种统计检验方法,用于检测数据集中明显延长的量何时超过因误差而应预期的量,从而表明真正的延长可能在某些个体中起作用。然而,该检验基于一个限制性假设,即每个个体端粒变化的真实速率随时间是恒定的。目前尚不清楚这个假设是否成立。在此我们通过模拟数据集表明,在测量完美且样本量较大的情况下,只要真实变化速率随时间是恒定的或适度稳定的,该检验就有很高的能力检测到真正的延长。如果真实变化速率逐年随机变化,该检验会系统性地返回II类错误(假阴性;即即使每年有相当一部分人群确实在延长,也未能检测到延长)。我们还考虑了测量误差的影响。利用从人类端粒文献中得出的年度损耗幅度和测量误差估计值,我们表明即使在大样本中,在几种符合实际情况的场景下,该检验的功效可能也较低。因此,虽然所提出检验的显著结果可能表明数据集中存在真正的延长,但如果测量误差很大,和/或个体内部端粒变化的真实速率随时间有很大变化,II类错误很可能会出现。

https://cdn.ncbi.nlm.nih.gov/pmc/blobs/8ac4/5410151/51d3c210fd2f/peerj-05-3265-g001.jpg

文献AI研究员

20分钟写一篇综述,助力文献阅读效率提升50倍。

立即体验

用中文搜PubMed

大模型驱动的PubMed中文搜索引擎

马上搜索

文档翻译

学术文献翻译模型,支持多种主流文档格式。

立即体验