Suppr超能文献

治疗性肽核酸:原理、局限性与机遇

Therapeutic Peptide Nucleic Acids: Principles, Limitations, and Opportunities.

作者信息

Quijano Elias, Bahal Raman, Ricciardi Adele, Saltzman W Mark, Glazer Peter M

机构信息

Department of Genetics, Yale University, New Haven, CT.

Department of Pharmaceutical Sciences, University of Connecticut, Storrs, CT.

出版信息

Yale J Biol Med. 2017 Dec 19;90(4):583-598. eCollection 2017 Dec.

Abstract

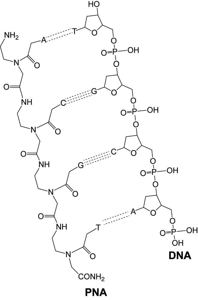
Since their invention in 1991, peptide nucleic acids (PNAs) have been used in a myriad of chemical and biological assays. More recently, peptide nucleic acids have also been demonstrated to hold great potential as therapeutic agents because of their physiological stability, affinity for target nucleic acids, and versatility. While recent modifications in their design have further improved their potency, their preclinical development has reached new heights due to their combination with recent advancements in drug delivery. This review focuses on recent advances in PNA therapeutic applications, in which chemical modifications are made to improve PNA function and nanoparticles are used to enhance PNA delivery.

摘要

自1991年发明以来,肽核酸(PNA)已被用于无数的化学和生物学检测中。最近,肽核酸还因其生理稳定性、对靶核酸的亲和力和多功能性而被证明具有作为治疗剂的巨大潜力。虽然最近对其设计的改进进一步提高了它们的效力,但由于它们与药物递送的最新进展相结合,其临床前开发已达到新的高度。本综述重点关注PNA治疗应用的最新进展,其中进行化学修饰以改善PNA功能,并使用纳米颗粒来增强PNA递送。

https://cdn.ncbi.nlm.nih.gov/pmc/blobs/70f2/5733847/031289fa0040/yjbm_90_4_583_g01.jpg

文献AI研究员

20分钟写一篇综述,助力文献阅读效率提升50倍。

立即体验

用中文搜PubMed

大模型驱动的PubMed中文搜索引擎

马上搜索

文档翻译

学术文献翻译模型,支持多种主流文档格式。

立即体验