Suppr超能文献

20 世纪之交的长寿:当今 90 岁以上老人的父母具有终生持续的生存优势。

Longevity Around the Turn of the 20th Century: Life-Long Sustained Survival Advantage for Parents of Today's Nonagenarians.

机构信息

Department of Molecular Epidemiology, Leiden University, Albinusdreef, Leiden, The Netherlands.

Department of Economic, Social, and Demographic History, Radboud University, Erasmusplein, Nijmegen, The Netherlands.

出版信息

J Gerontol A Biol Sci Med Sci. 2018 Sep 11;73(10):1295-1302. doi: 10.1093/gerona/gly049.

Abstract

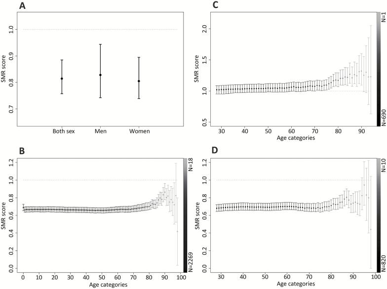
Members of longevous families live longer than individuals from similar birth cohorts and delay/escape age-related diseases. Insight into this familial component of longevity can provide important knowledge about mechanisms protecting against age-related diseases. This familial component of longevity was studied in the Leiden Longevity Study which consists of 944 longevous siblings (participants), their parents (N = 842), siblings (N = 2,302), and spouses (N = 809). Family longevity scores were estimated to explore whether human longevity is transmitted preferentially through the maternal or paternal line. Standardized mortality ratios (SMRs) were estimated to investigate whether longevous siblings have a survival advantage compared with longevous singletons and we investigated whether parents of longevous siblings harbor a life-long sustained survival advantage compared with the general Dutch population by estimating lifetime SMRs (L-SMRs). We found that sibships with long-lived mothers and non-long-lived fathers had 0.41 (p = .024) less observed deaths than sibships with long-lived fathers and non-long-lived mothers and 0.48 (p = .008) less observed deaths than sibships with both parents non-long lived. Participants had 18.6 per cent less deaths compared with matched singletons and parents had a life-long sustained survival advantage (L-SMR = 0.510 and 0.688). In conclusion, genetic longevity studies may incorporate the maternal transmission pattern and genes influencing the entire life-course of individuals.

摘要

长寿家族的成员比具有相似出生队列的个体寿命更长,并且能够延缓/避免与年龄相关的疾病。深入了解长寿的这种家族成分可以为预防与年龄相关的疾病的机制提供重要知识。这项关于长寿家族成分的研究是在莱顿长寿研究中进行的,该研究包括 944 对长寿兄弟姐妹(参与者)、他们的父母(N=842)、兄弟姐妹(N=2302)和配偶(N=809)。为了探索人类长寿是否主要通过母系或父系遗传,我们估计了家族长寿评分。估计标准化死亡率比(SMRs)以调查长寿兄弟姐妹是否与长寿的单身者相比具有生存优势,我们还通过估计终生标准化死亡率比(L-SMRs)来调查长寿兄弟姐妹的父母是否与普通荷兰人群相比具有终生持续的生存优势。我们发现,具有长寿母亲和非长寿父亲的同胞群体比具有长寿父亲和非长寿母亲的同胞群体观察到的死亡人数少 0.41(p=0.024),比父母双方都非长寿的同胞群体观察到的死亡人数少 0.48(p=0.008)。与匹配的单身者相比,参与者的死亡人数减少了 18.6%,父母具有终生持续的生存优势(L-SMR=0.510 和 0.688)。总之,遗传长寿研究可以结合母系遗传模式和影响个体整个生命历程的基因。

https://cdn.ncbi.nlm.nih.gov/pmc/blobs/b8eb/6132126/419f967ddf7e/gly04901.jpg

文献AI研究员

20分钟写一篇综述,助力文献阅读效率提升50倍。

立即体验

用中文搜PubMed

大模型驱动的PubMed中文搜索引擎

马上搜索

文档翻译

学术文献翻译模型,支持多种主流文档格式。

立即体验