Suppr超能文献

线粒体分裂抑制剂 1 降低了与动力相关蛋白 1 和线粒体分裂活性。

Mitochondrial division inhibitor 1 reduces dynamin-related protein 1 and mitochondrial fission activity.

机构信息

Garrison Institute on Aging, Texas Tech University Health Sciences Center, MS, Lubbock, TX, USA.

Neurology Department, Texas Tech University Health Sciences Center, MS, Lubbock, TX, USA.

出版信息

Hum Mol Genet. 2019 Jan 15;28(2):177-199. doi: 10.1093/hmg/ddy335.

Abstract

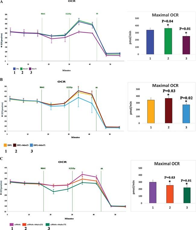
The purpose of our study was to better understand the effects of mitochondrial-division inhibitor 1 (Mdivi-1) on mitochondrial fission, mitochondrial biogenesis, electron transport activities and cellular protection. In recent years, researchers have found excessive mitochondrial fragmentation and reduced fusion in a large number of diseases with mitochondrial dysfunction. Therefore, several groups have developed mitochondrial division inhibitors. Among these, Mdivi-1 was extensively studied and was found to reduce dynamin-related protein 1 (Drp1) levels and excessive mitochondrial fission, enhance mitochondrial fusion activity and protect cells. However, a recent study by Bordt et al. (1) questioned earlier findings of the beneficial, inhibiting effects of Mdivi-1. In the current study, we studied the protective effects of Mdivi-1 by studying the following: mRNA and protein levels of electron transport chain (ETC) genes; mitochondrial dynamics and biogenesis genes; enzymatic activities of ETC complexes I, II, III and IV; the mitochondrial network; mitochondrial size & number; Drp1 GTPase enzymatic activity and mitochondrial respiration (1) in N2a cells treated with Mdivi-1, (2) overexpressed with full-length Drp1 + Mdivi-1-treated N2a cells and (3) Drp1 RNA silenced+Mdivi-1-treated N2a cells. We found reduced levels of the fission genes Drp1 and Fis1 levels; increased levels of the fusion genes Mfn1, Mfn2 and Opa1; and the biogenesis genes PGC1α, nuclear respiration factor 1, nuclear respiratory factor 2 and transcription factor A, mitochondrial. Increased levels mRNA and protein levels were found in ETC genes of complexes I, II and IV genes. Immunoblotting data agreed with mRNA changes. Transmission electron microscopy analysis revealed reduced numbers of mitochondria and increased length of mitochondria (1) in N2a cells treated with Mdivi-1, (2) cells overexpressed with full-length Drp1 + Mdivi-1-treated N2a cells and (3) Drp1 RNA silenced+Mdivi-1-treated N2a cells. Immunofluorescence analysis revealed that mitochondrial network was increased. Increased levels of complex I, II and IV enzymatic activities were found in all three groups of cells treated with low concentration of Mdivi-1. Mitochondrial function was increased and GTPase Drp1 activity was decreased in all three groups of N2a cells. These observations strongly suggest that Mdivi-1 is a Drp1 inhibitor and directly reduces mitochondrial fragmentation and further, Mdivi-1 is a promising molecule to treat human diseases with ETC complexes, I, II and IV.

摘要

我们的研究目的是更好地了解线粒体分裂抑制剂 1(Mdivi-1)对线粒体裂变、线粒体生物发生、电子传递活性和细胞保护的影响。近年来,研究人员在许多线粒体功能障碍的疾病中发现了过多的线粒体片段化和融合减少。因此,有几个研究小组开发了线粒体分裂抑制剂。其中,Mdivi-1 被广泛研究,发现它可以降低与 dynamin 相关蛋白 1(Drp1)的水平和过度的线粒体裂变,增强线粒体融合活性并保护细胞。然而,Bordt 等人最近的一项研究(1)对 Mdivi-1 的有益抑制作用的早期发现提出了质疑。在本研究中,我们通过研究以下方面研究了 Mdivi-1 的保护作用:电子传递链(ETC)基因的 mRNA 和蛋白质水平;线粒体动力学和生物发生基因;ETC 复合物 I、II、III 和 IV 的酶活性;线粒体网络;线粒体大小和数量;Drp1 GTP 酶活性和线粒体呼吸(1)用 Mdivi-1 处理的 N2a 细胞,(2)用全长 Drp1+Mdivi-1 处理的 N2a 细胞过表达和(3)Drp1 RNA 沉默+Mdivi-1 处理的 N2a 细胞。我们发现分裂基因 Drp1 和 Fis1 水平降低;融合基因 Mfn1、Mfn2 和 Opa1 水平升高;以及生物发生基因 PGC1α、核呼吸因子 1、核呼吸因子 2 和线粒体转录因子 A。在 I、II 和 IV 基因的 ETC 基因中发现了 mRNA 和蛋白质水平的升高。免疫印迹数据与 mRNA 变化一致。透射电子显微镜分析显示,在用 Mdivi-1 处理的 N2a 细胞(1)中,线粒体数量减少,线粒体长度增加;(2)用全长 Drp1+Mdivi-1 处理的 N2a 细胞过表达和(3)Drp1 RNA 沉默+Mdivi-1 处理的 N2a 细胞。免疫荧光分析显示线粒体网络增加。在所有三组用低浓度 Mdivi-1 处理的细胞中,都发现了复合物 I、II 和 IV 的酶活性升高。所有三组 N2a 细胞的线粒体功能都增加,Drp1 GTP 酶活性降低。这些观察结果强烈表明,Mdivi-1 是 Drp1 抑制剂,可直接减少线粒体片段化,进一步表明 Mdivi-1 是治疗人类疾病的有前途的分子,涉及 ETC 复合物 I、II 和 IV。

https://cdn.ncbi.nlm.nih.gov/pmc/blobs/042c/6322070/b0fd6df3fd33/ddy335f1.jpg

文献AI研究员

20分钟写一篇综述,助力文献阅读效率提升50倍。

立即体验

用中文搜PubMed

大模型驱动的PubMed中文搜索引擎

马上搜索

文档翻译

学术文献翻译模型,支持多种主流文档格式。

立即体验