Suppr超能文献

提高两样本汇总数据孟德尔随机化的准确性:超越 NOME 假设。

Improving the accuracy of two-sample summary-data Mendelian randomization: moving beyond the NOME assumption.

机构信息

MRC Integrative Epidemiology Unit, University of Bristol, Bristol, UK.

Population Health Sciences, University of Bristol, Bristol, UK.

出版信息

Int J Epidemiol. 2019 Jun 1;48(3):728-742. doi: 10.1093/ije/dyy258.

Abstract

BACKGROUND

Two-sample summary-data Mendelian randomization (MR) incorporating multiple genetic variants within a meta-analysis framework is a popular technique for assessing causality in epidemiology. If all genetic variants satisfy the instrumental variable (IV) and necessary modelling assumptions, then their individual ratio estimates of causal effect should be homogeneous. Observed heterogeneity signals that one or more of these assumptions could have been violated.

METHODS

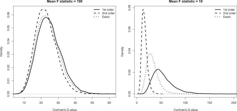
Causal estimation and heterogeneity assessment in MR require an approximation for the variance, or equivalently the inverse-variance weight, of each ratio estimate. We show that the most popular 'first-order' weights can lead to an inflation in the chances of detecting heterogeneity when in fact it is not present. Conversely, ostensibly more accurate 'second-order' weights can dramatically increase the chances of failing to detect heterogeneity when it is truly present. We derive modified weights to mitigate both of these adverse effects.

RESULTS

Using Monte Carlo simulations, we show that the modified weights outperform first- and second-order weights in terms of heterogeneity quantification. Modified weights are also shown to remove the phenomenon of regression dilution bias in MR estimates obtained from weak instruments, unlike those obtained using first- and second-order weights. However, with small numbers of weak instruments, this comes at the cost of a reduction in estimate precision and power to detect a causal effect compared with first-order weighting. Moreover, first-order weights always furnish unbiased estimates and preserve the type I error rate under the causal null. We illustrate the utility of the new method using data from a recent two-sample summary-data MR analysis to assess the causal role of systolic blood pressure on coronary heart disease risk.

CONCLUSIONS

We propose the use of modified weights within two-sample summary-data MR studies for accurately quantifying heterogeneity and detecting outliers in the presence of weak instruments. Modified weights also have an important role to play in terms of causal estimation (in tandem with first-order weights) but further research is required to understand their strengths and weaknesses in specific settings.

摘要

背景

两样本汇总数据孟德尔随机化(MR)在元分析框架内纳入多个遗传变异,是评估流行病学中因果关系的一种流行技术。如果所有遗传变异都满足工具变量(IV)和必要的建模假设,那么它们各自因果效应的比值估计应该是同质的。观察到的异质性表明其中一个或多个假设可能已经被违反。

方法

MR 中的因果估计和异质性评估需要对每个比值估计的方差(或等效地,倒数方差权重)进行近似。我们表明,最流行的“一阶”权重可能会导致在实际上不存在异质性的情况下,检测到异质性的可能性增加。相反,表面上更准确的“二阶”权重在真正存在异质性时,可能会极大地增加未能检测到异质性的可能性。我们推导出修正权重以减轻这两种不利影响。

结果

使用蒙特卡罗模拟,我们表明修正权重在异质性量化方面优于一阶和二阶权重。修正权重还被证明可以消除从弱工具获得的 MR 估计中回归稀释偏差的现象,而不像使用一阶和二阶权重获得的估计那样。然而,对于少量弱工具,与一阶加权相比,这会降低估计精度和检测因果效应的能力。此外,一阶权重始终提供无偏估计并在因果零假设下保持Ⅰ型错误率。我们使用最近的两样本汇总数据 MR 分析数据来说明新方法的实用性,以评估收缩压对冠心病风险的因果作用。

结论

我们建议在两样本汇总数据 MR 研究中使用修正权重来准确量化异质性并检测弱工具存在的异常值。修正权重在因果估计方面也具有重要作用(与一阶权重一起),但需要进一步研究以了解它们在特定环境中的优缺点。

https://cdn.ncbi.nlm.nih.gov/pmc/blobs/2655/6659376/f4b72385df2c/dyy258f1.jpg

文献AI研究员

20分钟写一篇综述,助力文献阅读效率提升50倍。

立即体验

用中文搜PubMed

大模型驱动的PubMed中文搜索引擎

马上搜索

文档翻译

学术文献翻译模型,支持多种主流文档格式。

立即体验