Suppr超能文献

恢复耐多粘菌素大肠埃希菌对多粘菌素的敏感性:MarR 抑制剂与外排泵抑制剂联合使用。

Restoring colistin sensitivity in colistin-resistant E. coli: Combinatorial use of MarR inhibitor with efflux pump inhibitor.

机构信息

Center for Research on Infectious Diseases, School of Chemical and Biotechnology, SASTRA Deemed to be University, Thanjavur, Tamil Nadu, India.

Department of Chemistry, School of Chemical and Biotechnology, SASTRA Deemed to be University, Thanjavur, Tamil Nadu, India.

出版信息

Sci Rep. 2019 Dec 25;9(1):19845. doi: 10.1038/s41598-019-56325-x.

Abstract

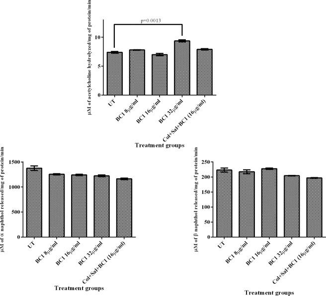
Antibiotics like colistin are the last resort to deal with infections by carbapenem-resistant Enterobacteriaceae (CREB). Resistance to colistin severely restricts therapeutic options. To tackle this dire situation, urgent measures to restore colistin sensitivity are needed. In this study, whole-genome sequencing of colistin-resistant E. coli strain was performed and the genome analysis revealed that the strain belonged to the sequence type ST405. Multiple mutations were observed in genes implicated in colistin resistance, especially those related to the L-Ara-4-N pathway but mgrB was unmutated and mcr1-9 genes were missing. MarR inhibitor salicylate was used to re-sensitize this strain to colistin, which increased the negative charge on the cell surface especially in colistin resistant E. coli (U3790 strain) and thereby facilitated a decrease in colistin MIC by 8 fold. It is indeed well known that MarR inhibition by salicylate triggers the expression of AcrAB efflux pumps through MarA. So, in order to fully restore colistin sensitivity, a potent efflux pump inhibitor (BC1), identified earlier by this group was employed. The combination of colistin with both salicylate and BC1 caused a remarkable 6 log reduction in cell counts of U3790 in time-kill assay. Infection of muscle tissue of zebrafish with U3790 followed by various treatments showed that the combination of colistin + salicylate + BC1 was highly effective in reducing bioburden in infected muscle tissue by 4 log fold. Thus, our study shows that a combination of MarR inhibitor to enhance colistin binding and efflux pump inhibitor to reduce colistin extrusion was highly effective in restoring colistin sensitivity in colistin-resistant clinical isolate of E. coli in vitro and in vivo.

摘要

粘菌素等抗生素是应对碳青霉烯类耐药肠杆菌科(CREB)感染的最后手段。对粘菌素的耐药性严重限制了治疗选择。为了解决这一严峻局面,需要采取紧急措施恢复粘菌素敏感性。在这项研究中,对粘菌素耐药大肠杆菌菌株进行了全基因组测序,基因组分析表明该菌株属于序列型 ST405。在涉及粘菌素耐药的基因中观察到多个突变,特别是与 L-Ara-4-N 途径相关的基因,但 mgrB 未突变且 mcr1-9 基因缺失。使用 MarR 抑制剂水杨酸重新使该菌株对粘菌素敏感,这增加了细胞表面的负电荷,特别是在粘菌素耐药的大肠杆菌(U3790 菌株)中,从而使粘菌素 MIC 降低了 8 倍。事实上,水杨酸抑制 MarR 会通过 MarA 触发 AcrAB 外排泵的表达是众所周知的。因此,为了充分恢复粘菌素敏感性,本研究小组之前使用了一种有效的外排泵抑制剂(BC1)。在时间杀伤试验中,粘菌素与水杨酸和 BC1 联合使用导致 U3790 的细胞计数显著减少了 6 个对数。用 U3790 感染斑马鱼肌肉组织并进行各种处理后发现,粘菌素+水杨酸+BC1 的联合用药在减少感染肌肉组织中的生物负荷方面非常有效,降低了 4 个对数。因此,我们的研究表明,MarR 抑制剂增强粘菌素结合,外排泵抑制剂减少粘菌素外排的联合用药在体外和体内恢复粘菌素耐药大肠杆菌临床分离株的粘菌素敏感性方面非常有效。

https://cdn.ncbi.nlm.nih.gov/pmc/blobs/fb91/6934491/6813ef7baec9/41598_2019_56325_Fig1_HTML.jpg

文献AI研究员

20分钟写一篇综述,助力文献阅读效率提升50倍。

立即体验

用中文搜PubMed

大模型驱动的PubMed中文搜索引擎

马上搜索

文档翻译

学术文献翻译模型,支持多种主流文档格式。

立即体验