Suppr超能文献

柚皮素通过降低乙酰胆碱酯酶水平和抑制氧化应激来保护 AD 大鼠模型中 AlCl3/D-半乳糖诱导的神经毒性。

Naringenin protects AlCl3/D-galactose induced neurotoxicity in rat model of AD via attenuation of acetylcholinesterase levels and inhibition of oxidative stress.

机构信息

Neurochemistry and Biochemical Neuropharmacology Research Unit, Department of Biochemistry, University of Karachi, Karachi, Pakistan.

Department of Biological and Biomedical Sciences, The Aga Khan University, Karachi, Pakistan.

出版信息

PLoS One. 2020 Jan 16;15(1):e0227631. doi: 10.1371/journal.pone.0227631. eCollection 2020.

Abstract

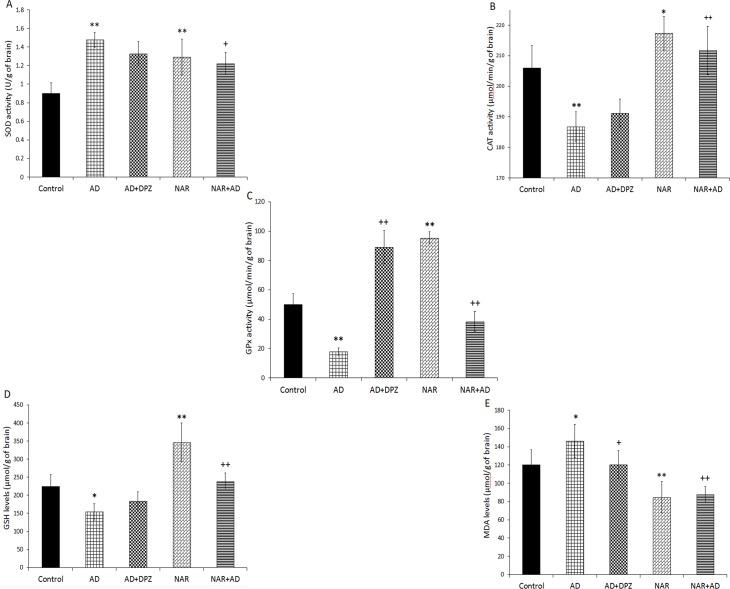
Currently prescribed medications for the treatment of Alzheimer's disease (AD) that are based on acetylcholinesterase inhibition only offer symptomatic relief but do not provide protection against neurodegeneration. There appear to be an intense need for the development of therapeutic strategies that not only improve brain functions but also prevent neurodegeneration. The oxidative stress is one of the main causative factors of AD. Various antioxidants are being investigated to prevent neurodegeneration in AD. The objective of this study was to investigate the neuroprotective effects of naringenin (NAR) against AlCl3+D-gal induced AD-like symptoms in an animal model. Rats were orally pre-treated with NAR (50 mg/kg) for two weeks and then exposed to AlCl3+D-gal (150 mg/kg + 300 mg/kg) intraperitoneally for one week to develop AD-like symptoms. The standard drug, donepezil (DPZ) was used as a stimulator of cholinergic activity. Our results showed that NAR pre-treatment significantly protected AD-like behavioral disturbances in rats. In DPZ group, rats showed improved cognitive and cholinergic functions but the neuropsychiatric functions were not completely improved and showed marked histopathological alterations. However, NAR not only prevented AlCl3+D-gal induced AD-like symptoms but also significantly prevented neuropsychiatric dysfunctions in rats. Results of present study suggest that NAR may play a role in enhancing neuroprotective and cognition functions and it can potentially be considered as a neuroprotective compound for therapeutic management of AD in the future.

摘要

目前用于治疗阿尔茨海默病(AD)的处方药物仅基于乙酰胆碱酯酶抑制作用,只能提供症状缓解,而不能提供神经退行性变的保护。似乎非常需要开发不仅可以改善大脑功能,而且可以预防神经退行性变的治疗策略。氧化应激是 AD 的主要致病因素之一。正在研究各种抗氧化剂以预防 AD 中的神经退行性变。本研究的目的是研究柚皮素(NAR)对 AlCl3+D-半乳糖诱导的 AD 样症状的神经保护作用在动物模型中。大鼠经口预先用 NAR(50 mg/kg)处理两周,然后腹膜内注射 AlCl3+D-半乳糖(150 mg/kg+300 mg/kg)一周,以诱导 AD 样症状。标准药物多奈哌齐(DPZ)用作胆碱能活性的刺激物。我们的结果表明,NAR 预处理可显着保护 AD 样行为障碍大鼠。在 DPZ 组中,大鼠表现出认知和胆碱能功能的改善,但神经精神功能并未完全改善,并显示出明显的组织病理学改变。然而,NAR 不仅预防了 AlCl3+D-半乳糖诱导的 AD 样症状,而且显着预防了大鼠的神经精神功能障碍。本研究结果表明,NAR 可能在增强神经保护和认知功能方面发挥作用,它可能被认为是未来治疗 AD 的神经保护化合物。

https://cdn.ncbi.nlm.nih.gov/pmc/blobs/7e8e/6964982/7b22479cb40c/pone.0227631.g001.jpg

文献AI研究员

20分钟写一篇综述,助力文献阅读效率提升50倍。

立即体验

用中文搜PubMed

大模型驱动的PubMed中文搜索引擎

马上搜索

文档翻译

学术文献翻译模型,支持多种主流文档格式。

立即体验