Suppr超能文献

FBXO家族表达与预后相关性的系统分析揭示了FBXO1在人类乳腺癌中的意义。

Systematic analysis of the expression and prognosis relevance of FBXO family reveals the significance of FBXO1 in human breast cancer.

作者信息

Liu Yaqian, Pan Bo, Qu Weikun, Cao Yilong, Li Jun, Zhao Haidong

机构信息

Department of Oncology & Department of Breast Surgery, The Second Hospital of Dalian Medical University, Dalian, 116023, China.

Department of Hepatobiliary and Pancreatic Surgery, The Second Hospital of Dalian Medical University, Dalian, 116023, China.

出版信息

Cancer Cell Int. 2021 Feb 23;21(1):130. doi: 10.1186/s12935-021-01833-y.

Abstract

BACKGROUND

Breast cancer (BC) remains a prevalent and common form of cancer with high heterogeneity. Making efforts to explore novel molecular biomarkers and serve as potential disease indicators, which is essential to effectively enhance the prognosis and individualized treatment of BC. FBXO proteins act as the core component of E3 ubiquitin ligase, which play essential regulators roles in multiple cellular processes. Recently, research has indicated that FBXOs also play significant roles in cancer development. However, the molecular functions of these family members in BC have not been fully elucidated.

METHODS

In this research, we investigated the expression data, survival relevance and mutation situation of 10 FBXO members (FBXO1, 2, 5, 6, 16, 17, 22, 28, 31 and 45) in patients with BC from the Oncomine, GEPIA, HPA, Kaplan-Meier Plotter, UALCAN and cBioPortal databases. The high transcriptional levels of FBXO1 in different subtypes of BC were verified by immunohistochemical staining and the specific mutations of FBXO1 were obtained from COSMIC database. Top 10 genes with the highest correlation to FBXO1 were identified through cBioPortal and COXPRESdb tools. Additionally, functional enrichment analysis, PPI network and survival relevance of FBXO1 and co-expressed genes in BC were obtained from DAVID, STRING, UCSC Xena, GEPIA, bc-GenExMiner and Kaplan-Meier Plotter databases. FBXO1 siRNAs were transfected into MCF-7 and MDA-MB-231 cell lines. Expression of FBXO1 in BC cell lines was detected by western-blot and RT-qPCR. Cell proliferation was detected by using CCK-8 kit and colony formation assay. Cell migration was detected by wound-healing and transwell migration assay.

RESULTS

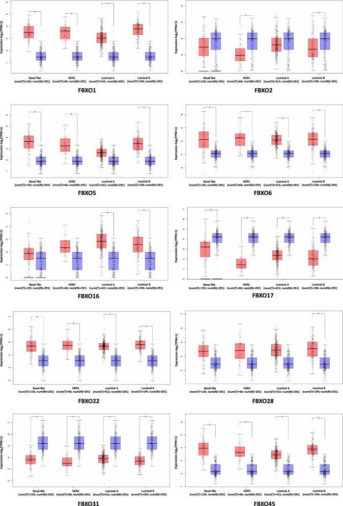
We found that FBXO2, FBXO6, FBXO16 and FBXO17 were potential favorable prognostic factors for BC. FBXO1, FBXO5, FBXO22, FBXO28, FBXO31 and FBXO45 may be the independent poor prognostic factors for BC. All of them were correlated to clinicopathological staging. Moreover, knockdown of FBXO1 in MCF7 and MDA-MB-231 cell lines resulted in decreased cell proliferation and migration in vitro. We identified that FBXO1 was an excellent molecular biomarker and therapeutic target for different molecular typing of BC.

CONCLUSION

This study implies that FBXO1, FBXO2, FBXO5, FBXO6, FBXO16, FBXO17, FBXO22, FBXO28, FBXO31 and FBXO45 genes are potential clinical targets and prognostic biomarkers for patients with different molecular typing of BC. In addition, the overexpression of FBXO1 is always found in breast cancer and predicts disadvantageous prognosis, implicating it could as an appealing therapeutic target for breast cancer patients.

摘要

背景

乳腺癌(BC)仍然是一种普遍且常见的癌症形式,具有高度异质性。努力探索新的分子生物标志物并将其作为潜在的疾病指标,对于有效改善BC的预后和个体化治疗至关重要。FBXO蛋白作为E3泛素连接酶的核心成分,在多个细胞过程中发挥着重要的调节作用。最近,研究表明FBXOs在癌症发展中也发挥着重要作用。然而,这些家族成员在BC中的分子功能尚未完全阐明。

方法

在本研究中,我们从Oncomine、GEPIA、HPA、Kaplan-Meier Plotter、UALCAN和cBioPortal数据库中调查了10个FBXO成员(FBXO1、2、5、6、16、17、22、28、31和45)在BC患者中的表达数据、生存相关性和突变情况。通过免疫组织化学染色验证了FBXO1在不同BC亚型中的高转录水平,并从COSMIC数据库中获得了FBXO1的特定突变。通过cBioPortal和COXPRESdb工具鉴定了与FBXO1相关性最高的前10个基因。此外,从DAVID、STRING、UCSC Xena、GEPIA、bc-GenExMiner和Kaplan-Meier Plotter数据库中获得了FBXO1及其在BC中共表达基因的功能富集分析、蛋白质-蛋白质相互作用(PPI)网络和生存相关性。将FBXO1小干扰RNA(siRNAs)转染到MCF-7和MDA-MB-231细胞系中。通过蛋白质免疫印迹法(western-blot)和逆转录定量聚合酶链反应(RT-qPCR)检测BC细胞系中FBXO1的表达。使用细胞计数试剂盒(CCK-8)和集落形成试验检测细胞增殖。通过伤口愈合试验和Transwell迁移试验检测细胞迁移。

结果

我们发现FBXO2、FBXO6、FBXO16和FBXO17是BC潜在的有利预后因素。FBXO1、FBXO5、FBXO22、FBXO28、FBXO31和FBXO45可能是BC独立的不良预后因素。它们均与临床病理分期相关。此外,在MCF7和MDA-MB-231细胞系中敲低FBXO1导致体外细胞增殖和迁移减少。我们确定FBXO1是不同分子分型BC的优秀分子生物标志物和治疗靶点。

结论

本研究表明,FBXO1、FBXO2、FBXO5、FBXO6、FBXO16、FBXO17、FBXO22、FBXO28、FBXO31和FBXO45基因是不同分子分型BC患者潜在的临床靶点和预后生物标志物。此外,FBXO1在乳腺癌中总是过表达,并预测不良预后,这表明它可能是乳腺癌患者有吸引力的治疗靶点。

https://cdn.ncbi.nlm.nih.gov/pmc/blobs/a757/7903729/334f46660f77/12935_2021_1833_Fig1_HTML.jpg

文献AI研究员

20分钟写一篇综述,助力文献阅读效率提升50倍。

立即体验

用中文搜PubMed

大模型驱动的PubMed中文搜索引擎

马上搜索

文档翻译

学术文献翻译模型,支持多种主流文档格式。

立即体验