Suppr超能文献

肉瘤中 lncRNA-miRNA-mRNA ceRNA 网络的综合分析及潜在预后标志物。

Integrated analysis of lncRNA-miRNA-mRNA ceRNA network and the potential prognosis indicators in sarcomas.

机构信息

College of Medicine, Southwest Jiaotong University, Chengdu, 610031, Sichuan, China.

Department of Oncology, The General Hospital of Western Theater Command, Chengdu, 610083, Sichuan, China.

出版信息

BMC Med Genomics. 2021 Mar 2;14(1):67. doi: 10.1186/s12920-021-00918-x.

Abstract

BACKGROUND

Competitive endogenous RNA (ceRNA) networks have revealed a new mechanism of interaction between RNAs, and play crucial roles in multiple biological processes and development of neoplasms. They might serve as diagnostic and prognosis markers as well as therapeutic targets.

METHODS

In this work, we identified differentially expressed mRNAs (DEGs), lncRNAs (DELs) and miRNAs (DEMs) in sarcomas by comparing the gene expression profiles between sarcoma and normal muscle samples in Gene Expression Omnibus (GEO) datasets. Gene ontology (GO) and Kyoto encyclopedia of genes and genomes (KEGG) pathway enrichment analyses were applied to investigate the primary functions of the overlapped DEGs. Then, lncRNA-miRNA and miRNA-mRNA interactions were predicted, and the ceRNA regulatory network was constructed using Cytoscape software. In addition, the protein-protein interaction (PPI) network and survival analysis were performed.

RESULTS

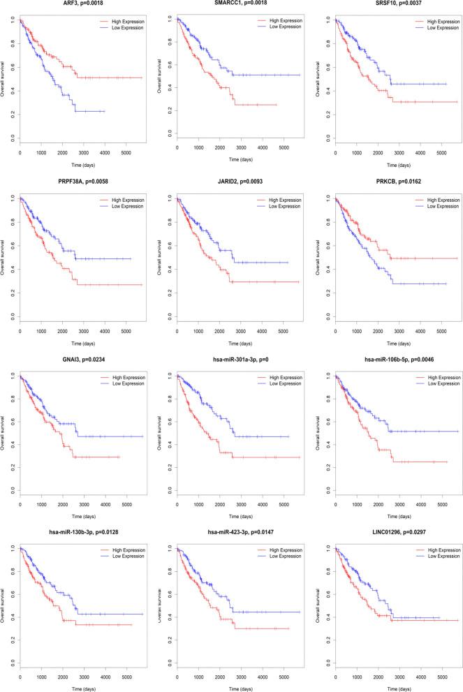
A total of 1296 DEGs were identified in sarcoma samples by combining the GO and KEGG enrichment analyses, 338 DELs were discovered after the probes were reannotated, and 36 DEMs were ascertained through intersecting two different expression miRNAs sets. Further, through target gene prediction, a lncRNA-miRNA-mRNA ceRNA network that contained 113 mRNAs, 69 lncRNAs and 29 miRNAs was constructed. The PPI network identified the six most significant hub proteins. Survival analysis revealed that seven mRNAs, four miRNAs and one lncRNA were associated with overall survival of sarcoma patients.

CONCLUSIONS

Overall, we constructed a ceRNA network in sarcomas, which might provide insights for further research on the molecular mechanism and potential prognosis biomarkers.

摘要

背景

竞争性内源 RNA(ceRNA)网络揭示了 RNA 之间相互作用的新机制,在多种生物过程和肿瘤的发生发展中发挥着关键作用。它们可以作为诊断和预后标志物以及治疗靶点。

方法

本研究通过比较基因表达综合数据库(GEO)中肉瘤和正常肌肉样本的基因表达谱,鉴定肉瘤中的差异表达 mRNA(DEGs)、长链非编码 RNA(lncRNAs,DELs)和 microRNA(miRNAs,DEMs)。采用基因本体论(GO)和京都基因与基因组百科全书(KEGG)通路富集分析来研究重叠 DEGs 的主要功能。然后,预测 lncRNA-miRNA 和 miRNA-mRNA 相互作用,并使用 Cytoscape 软件构建 ceRNA 调控网络。此外,还进行了蛋白质-蛋白质相互作用(PPI)网络和生存分析。

结果

通过 GO 和 KEGG 富集分析,结合两个数据集,共鉴定出 1296 个 DEGs;重新注释探针后,发现 338 个 DEL;通过相交两个不同的表达 miRNA 集,确定 36 个 DEM。进一步通过靶基因预测,构建了包含 113 个 mRNAs、69 个 lncRNAs 和 29 个 miRNAs 的 lncRNA-miRNA-mRNA ceRNA 网络。PPI 网络确定了六个最重要的枢纽蛋白。生存分析显示,7 个 mRNAs、4 个 miRNAs 和 1 个 lncRNA 与肉瘤患者的总生存率相关。

结论

总之,本研究构建了肉瘤中的 ceRNA 网络,为进一步研究其分子机制和潜在的预后生物标志物提供了思路。

https://cdn.ncbi.nlm.nih.gov/pmc/blobs/967c/7927383/be8981724f29/12920_2021_918_Fig1_HTML.jpg

文献AI研究员

20分钟写一篇综述,助力文献阅读效率提升50倍。

立即体验

用中文搜PubMed

大模型驱动的PubMed中文搜索引擎

马上搜索

文档翻译

学术文献翻译模型,支持多种主流文档格式。

立即体验