Suppr超能文献

选定黄酮醇(漆黄素、山奈酚和槲皮素)对头颈部癌症的抗癌潜力

Anticancer Potential of Selected Flavonols: Fisetin, Kaempferol, and Quercetin on Head and Neck Cancers.

作者信息

Kubina Robert, Iriti Marcello, Kabała-Dzik Agata

机构信息

Department of Pathology, Faculty of Pharmaceutical Sciences in Sosnowiec, Medical University of Silesia, 40-055 Katowice, Poland.

Department of Agricultural and Environmental Sciences, Milan State University, via G. Celoria 2, 20133 Milan, Italy.

出版信息

Nutrients. 2021 Mar 5;13(3):845. doi: 10.3390/nu13030845.

Abstract

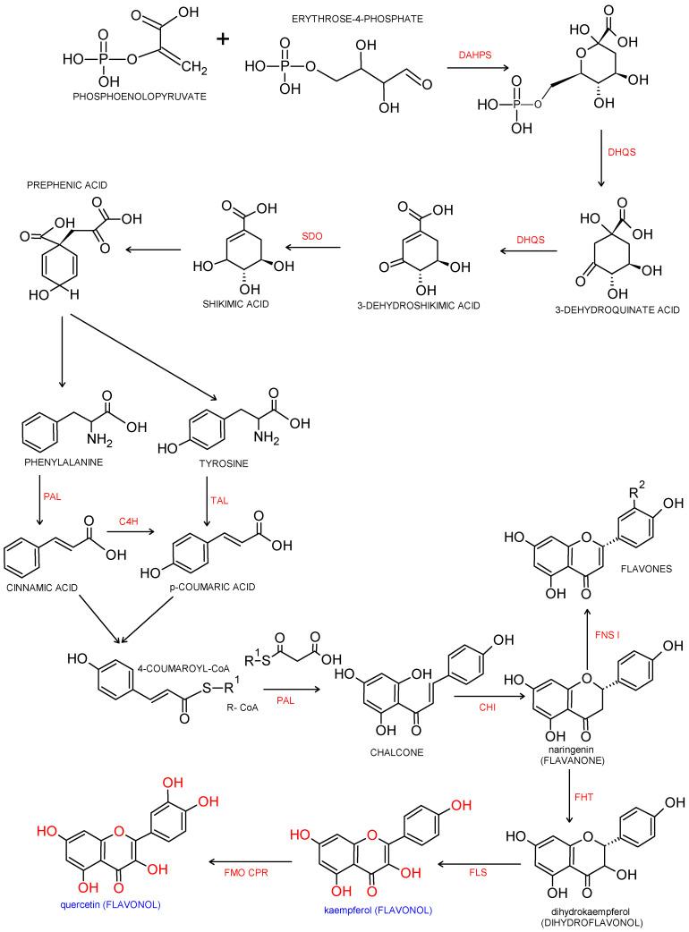
Flavonols are ones of the most common phytochemicals found in diets rich in fruit and vegetables. Research suggests that molecular functions of flavonoids may bring a number of health benefits to people, including the following: decrease inflammation, change disease activity, and alleviate resistance to antibiotics as well as chemotherapeutics. Their antiproliferative, antioxidant, anti-inflammatory, and antineoplastic activity has been proved. They may act as antioxidants, while preventing DNA damage by scavenging reactive oxygen radicals, reinforcing DNA repair, disrupting chemical damages by induction of phase II enzymes, and modifying signal transduction pathways. One of such research areas is a potential effect of flavonoids on the risk of developing cancer. The aim of our paper is to present a systematic review of antineoplastic activity of flavonols in general. Special attention was paid to selected flavonols: fisetin, kaempferol, and quercetin in preclinical and in vitro studies. Study results prove antiproliferative and proapoptotic properties of flavonols with regard to head and neck cancer. However, few study papers evaluate specific activities during various processes associated with cancer progression. Moreover, an attempt was made to collect the majority of substantive studies on bioactive potential of the selected flavonols, especially with regard to modulation of a range of signal transduction pathways that participate in cancer development.

摘要

黄酮醇是在富含水果和蔬菜的饮食中发现的最常见的植物化学物质之一。研究表明,黄酮类化合物的分子功能可能给人们带来许多健康益处,包括以下几点:减轻炎症、改变疾病活动、减轻对抗生素以及化疗药物的耐药性。它们的抗增殖、抗氧化、抗炎和抗肿瘤活性已得到证实。它们可以作为抗氧化剂,通过清除活性氧自由基来防止DNA损伤、加强DNA修复、通过诱导II期酶来破坏化学损伤以及调节信号转导通路。此类研究领域之一是黄酮类化合物对患癌风险的潜在影响。我们论文的目的是对黄酮醇的抗肿瘤活性进行系统综述。特别关注了临床前和体外研究中选定的黄酮醇:非瑟酮、山奈酚和槲皮素。研究结果证明了黄酮醇对头颈部癌具有抗增殖和促凋亡特性。然而,很少有研究论文评估与癌症进展相关的各种过程中的具体活性。此外,我们试图收集关于选定黄酮醇生物活性潜力的大多数实质性研究,特别是关于调节一系列参与癌症发展的信号转导通路方面的研究。

https://cdn.ncbi.nlm.nih.gov/pmc/blobs/2371/7998948/63a89f3f7d95/nutrients-13-00845-g001.jpg

文献AI研究员

20分钟写一篇综述,助力文献阅读效率提升50倍。

立即体验

用中文搜PubMed

大模型驱动的PubMed中文搜索引擎

马上搜索

文档翻译

学术文献翻译模型,支持多种主流文档格式。

立即体验