Suppr超能文献

一种新型肺腺癌自噬相关 lncRNA 生存模型。

A novel autophagy-related lncRNA survival model for lung adenocarcinoma.

机构信息

Department of Thoracic Surgery, Shanghai Public Health Clinical Center, Fudan University, Shanghai, China.

Department of Scientific Research, Shanghai Public Health Clinical Center, Fudan University, Shanghai, China.

出版信息

J Cell Mol Med. 2021 Jun;25(12):5681-5690. doi: 10.1111/jcmm.16582. Epub 2021 May 13.

Abstract

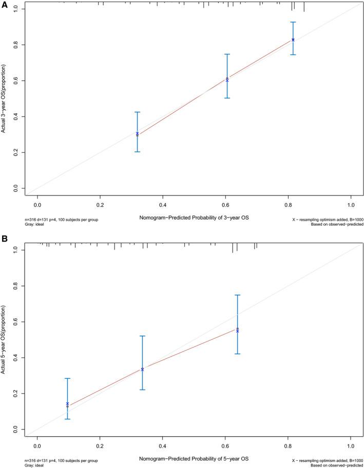
Long non-coding RNA (lncRNA) is an important regulatory factor in the development of lung adenocarcinoma, which is related to the control of autophagy. LncRNA can also be used as a biomarker of prognosis in patients with lung adenocarcinoma. Therefore, it is important to determine the prognostic value of autophagy-related lncRNA in lung adenocarcinoma. In this study, autophagy-related mRNAs-lncRNAs were screened from lung adenocarcinoma and a co-expression network of autophagy-related mRNAs-lncRNAs was constructed by using The Cancer Genome Atlas (TCGA). The univariate and multivariate Cox proportional hazard analyses were used to evaluate the prognostic value of the autophagy-related lncRNAs and finally obtained a survival model composed of 11 autophagy-related lncRNAs. Through Kaplan-Meier analysis, univariate and multivariate Cox regression analysis and time-dependent receiver operating characteristic (ROC) curve analysis, it was further verified that the survival model was a new independent prognostic factor for patients with lung adenocarcinoma. In addition, based on the survival model, gene set enrichment analysis (GSEA) was used to illustrate the function of genes in low-risk and high-risk groups. These 11 lncRNAs were GAS6-AS1, AC106047.1, AC010980.2, AL034397.3, NKILA, AL606489.1, HLA-DQB1-AS1, LINC01116, LINC01806, FAM83A-AS1 and AC090559.1. The hazard ratio (HR) of the risk score was 1.256 (1.196-1.320) (P < .001) in univariate Cox regression analysis and 1.215 (1.149-1.286) (P < .001) in multivariate Cox regression analysis. And the AUC value of the risk score was 0.809. The 11 autophagy-related lncRNA survival models had important predictive value for the prognosis of lung adenocarcinoma and may become clinical autophagy-related therapeutic targets.

摘要

长链非编码 RNA(lncRNA)是肺腺癌发展中的重要调控因子,与自噬的控制有关。lncRNA 也可用作肺腺癌患者预后的生物标志物。因此,确定自噬相关 lncRNA 在肺腺癌中的预后价值非常重要。在这项研究中,从肺腺癌中筛选出与自噬相关的 mRNAs-lncRNAs,并通过使用癌症基因组图谱(TCGA)构建了自噬相关 mRNAs-lncRNAs 的共表达网络。采用单因素和多因素 Cox 比例风险分析评估自噬相关 lncRNA 的预后价值,最终得到由 11 个自噬相关 lncRNA 组成的生存模型。通过 Kaplan-Meier 分析、单因素和多因素 Cox 回归分析以及时间依赖性接受者操作特征(ROC)曲线分析,进一步验证了生存模型是肺腺癌患者新的独立预后因素。此外,基于生存模型,进行基因集富集分析(GSEA)以说明低风险和高风险组中基因的功能。这 11 个 lncRNA 分别是 GAS6-AS1、AC106047.1、AC010980.2、AL034397.3、NKILA、AL606489.1、HLA-DQB1-AS1、LINC01116、LINC01806、FAM83A-AS1 和 AC090559.1。单因素 Cox 回归分析中风险评分的危险比(HR)为 1.256(1.196-1.320)(P<.001),多因素 Cox 回归分析中为 1.215(1.149-1.286)(P<.001)。风险评分的 AUC 值为 0.809。11 个自噬相关 lncRNA 生存模型对肺腺癌的预后具有重要的预测价值,可能成为临床自噬相关治疗靶点。

https://cdn.ncbi.nlm.nih.gov/pmc/blobs/7087/8184679/a878f2f54302/JCMM-25-5681-g004.jpg

文献AI研究员

20分钟写一篇综述,助力文献阅读效率提升50倍。

立即体验

用中文搜PubMed

大模型驱动的PubMed中文搜索引擎

马上搜索

文档翻译

学术文献翻译模型,支持多种主流文档格式。

立即体验