Suppr超能文献

视觉瞬态弹性成像与剪切波弹性成像在评估慢性肝病患者肝纤维化中的比较

Comparison of Visual Transient Elastography and Shear Wave Elastography in Evaluating Liver Fibrosis in Patients with Chronic Liver Disease.

作者信息

Yang Jiali, Li Jiawu, Ye Guilin, Luo Yan

机构信息

Department of Ultrasound, West China Hospital, Sichuan University, Chengdu, Sichuan, 610041, People's Republic of China.

出版信息

Int J Gen Med. 2021 Jul 15;14:3553-3561. doi: 10.2147/IJGM.S319101. eCollection 2021.

Abstract

PURPOSE

This study investigated the effectiveness and feasibility of shear wave elastography ((sound touch elastography) STE and (shear wave elastography) SWE) and visual transient elastography (ViTE) in the noninvasive quantitative diagnosis of liver fibrosis in chronic liver disease (CLD).

PATIENTS AND METHODS

A total of 106 patients with CLD underwent STE, SWE and ViTE elastography evaluation. The Young's modulus of the three elastography was valuated and the diagnostic performances of the three techniques for liver fibrosis staging were compared. The area under the receiver operating curve (ROC) for the diagnosis of liver fibrosis was compared. The final diagnosis was based on the histological findings on the liver biopsy.

RESULTS

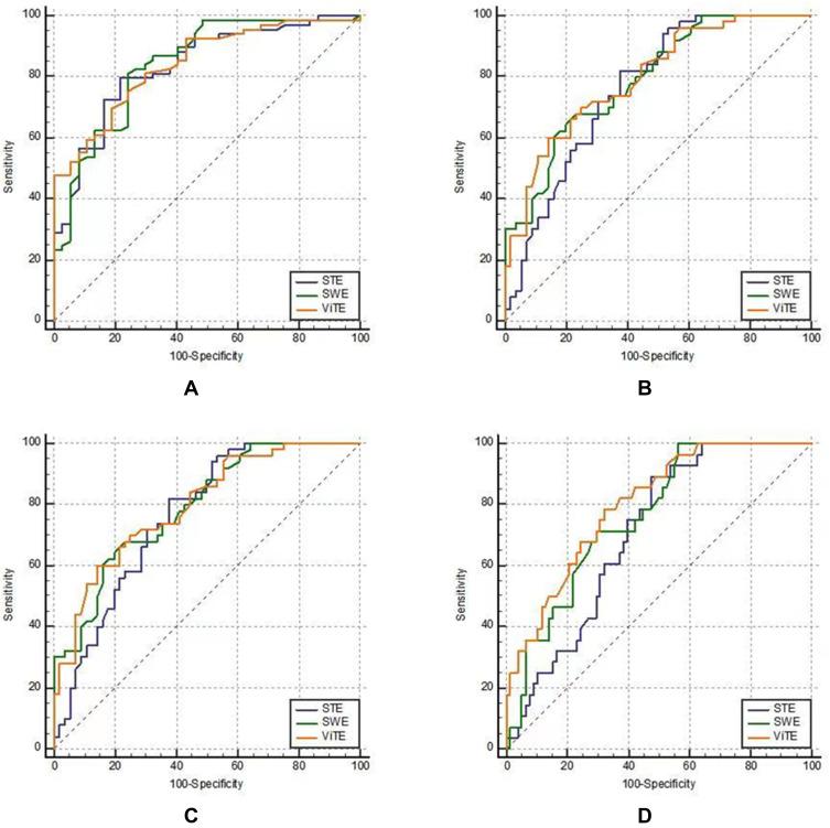
  1. The correlation between ViTE and SWE, ViTE and STE, SWE and STE stiffness values were 0.72, 0.75, 0.75 (P<0.001). 2) The relationship between the results of each elastography technique and the stage of pathological liver fibrosis showed that the more severe the liver fibrosis was, the higher the stiffness value was (all P <0.001). 3) When the three elastography techniques were used to detect the degree of liver fibrosis in different pathological stages, there was no statistical difference in the stabilities of the boxplots. 4) The ROCs of the three elastography techniques (ViTE, SWE and STE) were 0.88, 0.91, 0.92, F0 vs F1-3; 0.84, 0.84, 0.84, F0-1 vs F2-4; 0.80, 0.79, 0.77, F0-2 vs F3-4; 0.80, 0.76, 0.71, F0-3 vs 4; the AUC of ViTE was higher than the AUC of STE in the identification of F4, but there were no statistical differences in the AUCs of other groups.

CONCLUSION

ViTE has good stability for the liver stiffness measurement (LSM) and a high consistency with shear-wave elastography (SWE and STE). It is an effective tool for evaluating CLD, and its performance is comparable to SWE and STE. The combination of ViTE and STE can improve the specificity of disease diagnosis and do not add extra cost and may improve cost performance.

摘要

目的

本研究探讨剪切波弹性成像((声触诊弹性成像)STE和(剪切波弹性成像)SWE)及视觉瞬时弹性成像(ViTE)在慢性肝病(CLD)肝纤维化无创定量诊断中的有效性和可行性。

患者与方法

共106例CLD患者接受了STE、SWE和ViTE弹性成像评估。对三种弹性成像的杨氏模量进行评估,并比较三种技术对肝纤维化分期的诊断性能。比较诊断肝纤维化的受试者操作特征曲线(ROC)下面积。最终诊断基于肝活检的组织学结果。

结果

1)ViTE与SWE、ViTE与STE、SWE与STE硬度值之间的相关性分别为0.72、0.75、0.75(P<0.001)。2) 各弹性成像技术结果与病理性肝纤维化分期的关系显示,肝纤维化越严重,硬度值越高(均P<0.001)。3) 当三种弹性成像技术用于检测不同病理分期的肝纤维化程度时,箱线图的稳定性无统计学差异。4) 三种弹性成像技术(ViTE、SWE和STE)的ROC分别为0.88、0.91、0.92(F0对F1 - 3);0.84、0.84、0.84(F0 - 1对F2 - 4);0.80、0.79、0.77(F0 - 2对F3 - 4);0.80、0.76、0.71(F0 - 3对4);在识别F4时,ViTE的AUC高于STE的AUC,但其他组的AUC无统计学差异。

结论

ViTE在肝脏硬度测量(LSM)方面具有良好的稳定性,与剪切波弹性成像(SWE和STE)具有高度一致性。它是评估CLD的有效工具,其性能与SWE和STE相当。ViTE与STE联合应用可提高疾病诊断的特异性,且不增加额外费用,可能提高性价比。

https://cdn.ncbi.nlm.nih.gov/pmc/blobs/77d0/8290848/7f4b191680d0/IJGM-14-3553-g0001.jpg

文献AI研究员

20分钟写一篇综述,助力文献阅读效率提升50倍。

立即体验

用中文搜PubMed

大模型驱动的PubMed中文搜索引擎

马上搜索

文档翻译

学术文献翻译模型,支持多种主流文档格式。

立即体验