Suppr超能文献

2019 年全球细菌对抗菌药物耐药性的负担:系统分析。

Global burden of bacterial antimicrobial resistance in 2019: a systematic analysis.

出版信息

Lancet. 2022 Feb 12;399(10325):629-655. doi: 10.1016/S0140-6736(21)02724-0. Epub 2022 Jan 19.

Abstract

BACKGROUND

Antimicrobial resistance (AMR) poses a major threat to human health around the world. Previous publications have estimated the effect of AMR on incidence, deaths, hospital length of stay, and health-care costs for specific pathogen-drug combinations in select locations. To our knowledge, this study presents the most comprehensive estimates of AMR burden to date.

METHODS

We estimated deaths and disability-adjusted life-years (DALYs) attributable to and associated with bacterial AMR for 23 pathogens and 88 pathogen-drug combinations in 204 countries and territories in 2019. We obtained data from systematic literature reviews, hospital systems, surveillance systems, and other sources, covering 471 million individual records or isolates and 7585 study-location-years. We used predictive statistical modelling to produce estimates of AMR burden for all locations, including for locations with no data. Our approach can be divided into five broad components: number of deaths where infection played a role, proportion of infectious deaths attributable to a given infectious syndrome, proportion of infectious syndrome deaths attributable to a given pathogen, the percentage of a given pathogen resistant to an antibiotic of interest, and the excess risk of death or duration of an infection associated with this resistance. Using these components, we estimated disease burden based on two counterfactuals: deaths attributable to AMR (based on an alternative scenario in which all drug-resistant infections were replaced by drug-susceptible infections), and deaths associated with AMR (based on an alternative scenario in which all drug-resistant infections were replaced by no infection). We generated 95% uncertainty intervals (UIs) for final estimates as the 25th and 975th ordered values across 1000 posterior draws, and models were cross-validated for out-of-sample predictive validity. We present final estimates aggregated to the global and regional level.

FINDINGS

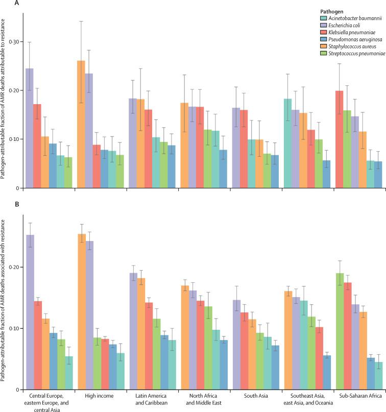
On the basis of our predictive statistical models, there were an estimated 4·95 million (3·62-6·57) deaths associated with bacterial AMR in 2019, including 1·27 million (95% UI 0·911-1·71) deaths attributable to bacterial AMR. At the regional level, we estimated the all-age death rate attributable to resistance to be highest in western sub-Saharan Africa, at 27·3 deaths per 100 000 (20·9-35·3), and lowest in Australasia, at 6·5 deaths (4·3-9·4) per 100 000. Lower respiratory infections accounted for more than 1·5 million deaths associated with resistance in 2019, making it the most burdensome infectious syndrome. The six leading pathogens for deaths associated with resistance (Escherichia coli, followed by Staphylococcus aureus, Klebsiella pneumoniae, Streptococcus pneumoniae, Acinetobacter baumannii, and Pseudomonas aeruginosa) were responsible for 929 000 (660 000-1 270 000) deaths attributable to AMR and 3·57 million (2·62-4·78) deaths associated with AMR in 2019. One pathogen-drug combination, meticillin-resistant S aureus, caused more than 100 000 deaths attributable to AMR in 2019, while six more each caused 50 000-100 000 deaths: multidrug-resistant excluding extensively drug-resistant tuberculosis, third-generation cephalosporin-resistant E coli, carbapenem-resistant A baumannii, fluoroquinolone-resistant E coli, carbapenem-resistant K pneumoniae, and third-generation cephalosporin-resistant K pneumoniae.

INTERPRETATION

To our knowledge, this study provides the first comprehensive assessment of the global burden of AMR, as well as an evaluation of the availability of data. AMR is a leading cause of death around the world, with the highest burdens in low-resource settings. Understanding the burden of AMR and the leading pathogen-drug combinations contributing to it is crucial to making informed and location-specific policy decisions, particularly about infection prevention and control programmes, access to essential antibiotics, and research and development of new vaccines and antibiotics. There are serious data gaps in many low-income settings, emphasising the need to expand microbiology laboratory capacity and data collection systems to improve our understanding of this important human health threat.

FUNDING

Bill & Melinda Gates Foundation, Wellcome Trust, and Department of Health and Social Care using UK aid funding managed by the Fleming Fund.

摘要

背景

抗菌药物耐药性(AMR)对全球人类健康构成重大威胁。以往的出版物已经估计了特定病原体-药物组合的 AMR 对发病率、死亡率、住院时间和医疗保健成本的影响,这些研究是在特定地点进行的。据我们所知,本研究是迄今为止对抗菌药物耐药性负担进行的最全面的估计。

方法

我们估计了 204 个国家和地区 23 种病原体和 88 种病原体-药物组合的细菌 AMR 导致的死亡人数和残疾调整生命年(DALY),以及与细菌 AMR 相关的死亡人数和 DALY。我们从系统文献综述、医院系统、监测系统和其他来源获取数据,涵盖了 4.71 亿个人记录或分离株和 7585 个研究地点年的数据。我们使用预测统计模型为所有地点(包括没有数据的地点)产生 AMR 负担的估计。我们的方法可以分为五个广泛的组成部分:感染起作用的死亡人数、给定传染病死亡归因于特定传染病综合征的比例、给定传染病综合征死亡归因于特定病原体的比例、对感兴趣的抗生素有耐药性的给定病原体的百分比,以及与这种耐药性相关的死亡或感染持续时间的额外风险。使用这些组成部分,我们根据两种假设情景估计了疾病负担:基于所有耐药感染都被敏感感染取代的替代方案的归因于 AMR 的死亡人数(基于替代方案的死亡人数),以及基于所有耐药感染都被无感染取代的替代方案的与 AMR 相关的死亡人数(基于替代方案的死亡人数)。我们生成了 95%的不确定性区间(UI),作为 1000 次后验抽取的第 25 和第 975 个有序值,并且对模型进行了交叉验证,以验证样本外预测的有效性。我们将最终估计值汇总到全球和区域水平。

结果

根据我们的预测统计模型,2019 年与细菌 AMR 相关的死亡人数估计为 495 万(362-657),其中 127 万(95%置信区间 91.1-171)归因于细菌 AMR。在区域层面,我们估计对耐药性的全年龄段死亡率以撒哈拉以南非洲西部最高,为每 10 万人 27.3 人(20.9-35.3),而澳大拉西亚最低,为每 10 万人 6.5 人(4.3-9.4)。下呼吸道感染导致 2019 年与耐药性相关的死亡人数超过 150 万,是最具负担的传染病综合征。与耐药性相关的死亡的六个主要病原体(大肠杆菌,其次是金黄色葡萄球菌、肺炎克雷伯菌、肺炎链球菌、鲍曼不动杆菌和铜绿假单胞菌)导致了 92.9 万人(66 万-127 万)归因于 AMR 的死亡和 357 万人(262-478)与 2019 年 AMR 相关的死亡。一种病原体-药物组合,耐甲氧西林金黄色葡萄球菌,导致 2019 年归因于 AMR 的死亡人数超过 10 万,而另外六种则导致 5 万至 10 万人死亡:除广泛耐药结核病外的多药耐药性、第三代头孢菌素耐药性大肠埃希菌、碳青霉烯类耐药性鲍曼不动杆菌、氟喹诺酮类耐药性大肠埃希菌、碳青霉烯类耐药性肺炎克雷伯菌和第三代头孢菌素耐药性肺炎克雷伯菌。

解释

据我们所知,本研究首次全面评估了全球抗菌药物耐药性负担,以及对数据可用性的评估。抗菌药物耐药性是全球死亡的主要原因,在资源匮乏的环境中负担最重。了解抗菌药物耐药性的负担以及导致其产生的主要病原体-药物组合对于做出明智的、特定于地点的政策决策至关重要,特别是关于感染预防和控制计划、获得基本抗生素以及新疫苗和抗生素的研究和开发。在许多低收入环境中存在严重的数据空白,这强调了需要扩大微生物学实验室能力和数据收集系统,以提高我们对这一重要人类健康威胁的认识。

资金

比尔及梅琳达·盖茨基金会、惠康信托基金和英国卫生部及社会保健部利用英国援助资金,由 Fleming 基金管理。

https://cdn.ncbi.nlm.nih.gov/pmc/blobs/69fe/9519383/eeb46888c0a7/gr1_lrg.jpg

文献AI研究员

20分钟写一篇综述,助力文献阅读效率提升50倍。

立即体验

用中文搜PubMed

大模型驱动的PubMed中文搜索引擎

马上搜索

文档翻译

学术文献翻译模型,支持多种主流文档格式。

立即体验