Suppr超能文献

泛酸合成酶抑制剂——药物化学家的视角

Inhibitors of pantothenate synthetase of - a medicinal chemist perspective.

作者信息

Suresh Amaroju, Srinivasarao Singireddi, Khetmalis Yogesh Mahadu, Nizalapur Shashidhar, Sankaranarayanan Murugesan, Gowri Chandra Sekhar Kondapalli Venkata

机构信息

Department of Chemistry, Birla Institute of Technology & Science-Pilani Hyderabad Campus, Medchal District Hyderabad-500078 Telangana India

School of Chemistry, UNSW, Australia Sydney NSW 2052 Australia.

出版信息

RSC Adv. 2020 Oct 7;10(61):37098-37115. doi: 10.1039/d0ra07398a.

Abstract

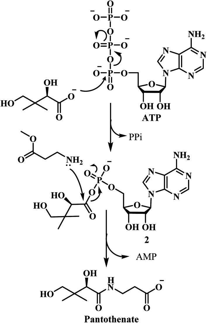
Tuberculosis (TB), one of the most prevalent infections, is on the rise today. Although there are drugs available in the market to combat this lethal disorder, there are several shortcomings with the current drug regimen, such as prolonged treatment period, drug resistance, high cost, Hence, it is inevitable for the current researchers across the globe to embark on new strategies for TB drug discovery, which will yield highly active low cost drugs with a shorter treatment period. To achieve this, novel strategies need to be adopted to discover new drugs. Pantothenate Synthetase (PS) is one such striking drug target in (MTB). It was observed that the pantothenate biosynthetic pathway is crucial for the pathogenicity of MTB. Pantothenate is absent in mammals and needs to be obtained from dietary sources. Hence, the pantothenate biosynthesis pathway is an impending target for emerging new therapeutics to treat TB. Worldwide, several approaches have been implemented by researchers in the quest for these inhibitors such as high-throughput screening, simulating the reaction intermediate pantoyl adenylate, use of vibrant combinatorial chemistry, hybridization approach, virtual screening of databases, inhibitors based on the crystal structure of MTB PS, The present review recapitulates current developments in PS inhibitors, important analogues of numerous metabolic intermediates, and newly established inhibitors with innumerable chemical structures.

摘要

结核病(TB)是最常见的感染性疾病之一,如今其发病率正在上升。尽管市场上有药物可用于对抗这种致命疾病,但目前的药物治疗方案存在一些缺点,如治疗周期长、耐药性、成本高。因此,全球目前的研究人员不可避免地要着手探索结核病药物研发的新策略,以开发出治疗周期短、活性高且成本低的药物。要实现这一目标,需要采用新的策略来发现新药。泛酸合成酶(PS)就是结核分枝杆菌(MTB)中这样一个引人注目的药物靶点。据观察,泛酸生物合成途径对MTB的致病性至关重要。哺乳动物体内不存在泛酸,需要从饮食中获取。因此,泛酸生物合成途径是新兴的结核病治疗新疗法的一个迫切目标。在全球范围内,研究人员为寻找这些抑制剂采用了多种方法,如高通量筛选、模拟反应中间体泛酰腺苷酸、运用活跃的组合化学、杂交方法、数据库虚拟筛选、基于MTB PS晶体结构的抑制剂等。本综述概述了PS抑制剂的当前进展、众多代谢中间体的重要类似物以及具有无数化学结构的新发现抑制剂。

https://cdn.ncbi.nlm.nih.gov/pmc/blobs/2c7e/9057165/e5b0782665ef/d0ra07398a-f1.jpg

文献AI研究员

20分钟写一篇综述,助力文献阅读效率提升50倍。

立即体验

用中文搜PubMed

大模型驱动的PubMed中文搜索引擎

马上搜索

文档翻译

学术文献翻译模型,支持多种主流文档格式。

立即体验