Suppr超能文献

探讨并减轻孟德尔随机化中与多个非暴露特征相关的遗传工具变量存在潜在偏倚的方法。

Exploring and mitigating potential bias when genetic instrumental variables are associated with multiple non-exposure traits in Mendelian randomization.

机构信息

MRC Integrative Epidemiology Unit at the University of Bristol, Bristol, UK.

Population Health Sciences, Bristol Medical School, University of Bristol, Bristol, UK.

出版信息

Eur J Epidemiol. 2022 Jul;37(7):683-700. doi: 10.1007/s10654-022-00874-5. Epub 2022 May 27.

Abstract

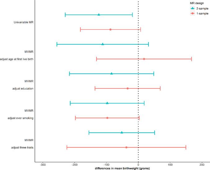
With the increasing size and number of genome-wide association studies, individual single nucleotide polymorphisms are increasingly found to associate with multiple traits. Many different mechanisms could result in proposed genetic IVs for an exposure of interest being associated with multiple non-exposure traits, some of which could bias MR results. We describe and illustrate, through causal diagrams, a range of scenarios that could result in proposed IVs being related to non-exposure traits in MR studies. These associations could occur due to five scenarios: (i) confounding, (ii) vertical pleiotropy, (iii) horizontal pleiotropy, (iv) reverse causation and (v) selection bias. For each of these scenarios we outline steps that could be taken to explore the underlying mechanism and mitigate any resulting bias in the MR estimation. We recommend MR studies explore possible IV-non-exposure associations across a wider range of traits than is usually the case. We highlight the pros and cons of relying on sensitivity analyses without considering particular pleiotropic paths versus systematically exploring and controlling for potential pleiotropic or other biasing paths via known traits. We apply our recommendations to an illustrative example of the effect of maternal insomnia on offspring birthweight in UK Biobank.

摘要

随着全基因组关联研究的规模和数量不断增加,越来越多的单核苷酸多态性被发现与多种性状相关。许多不同的机制可能导致拟议的遗传暴露变量与多种非暴露性状相关联,其中一些机制可能会导致 MR 结果产生偏差。我们通过因果关系图描述并说明了一系列可能导致 MR 研究中拟议的 IV 与非暴露性状相关的情况。这些关联可能是由于以下五种情况发生的:(i)混杂,(ii)垂直多效性,(iii)水平多效性,(iv)反向因果关系和(v)选择偏差。对于每种情况,我们都概述了可以采取的步骤,以探索潜在的机制,并减轻 MR 估计中由此产生的偏差。我们建议 MR 研究探索更广泛的性状范围,以确定可能的 IV-非暴露关联。我们强调了依赖敏感性分析而不考虑特定多效性路径与系统地探索和控制潜在的多效性或其他偏倚路径相比的优缺点,这些路径是通过已知的性状来实现的。我们将我们的建议应用于英国生物库中母亲失眠对后代出生体重影响的实例。

https://cdn.ncbi.nlm.nih.gov/pmc/blobs/a7ce/9329407/2105b8fee788/10654_2022_874_Fig1_HTML.jpg

文献AI研究员

20分钟写一篇综述,助力文献阅读效率提升50倍。

立即体验

用中文搜PubMed

大模型驱动的PubMed中文搜索引擎

马上搜索

文档翻译

学术文献翻译模型,支持多种主流文档格式。

立即体验