Suppr超能文献

肠促胰岛素受体的遗传变异性与酒精依赖:一项初步研究。

Genetic Variability of Incretin Receptors and Alcohol Dependence: A Pilot Study.

作者信息

Tsermpini Evangelia Eirini, Goričar Katja, Kores Plesničar Blanka, Plemenitaš Ilješ Anja, Dolžan Vita

机构信息

Pharmacogenetics Laboratory, Institute of Biochemistry and Molecular Genetics, Faculty of Medicine, University of Ljubljana, Ljubljana, Slovenia.

University Psychiatric Clinic, Ljubljana, Slovenia.

出版信息

Front Mol Neurosci. 2022 Jun 9;15:908948. doi: 10.3389/fnmol.2022.908948. eCollection 2022.

Abstract

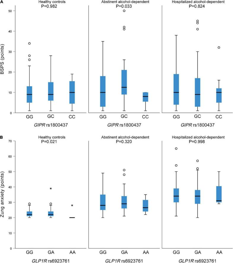
Alcohol dependence is a chronic mental disorder that leads to decreased quality of life for patients and their relatives and presents a considerable burden to society. Incretin hormones, such as glucose-dependent insulinotropic polypeptide (GIP) and glucagon-like peptide 1 (GLP-1) are endogenous gut-brain peptides, which can travel across the blood-brain barrier and access the nervous system. Their respective receptors, GIPR and GLP-1R, are expressed in the reward-related brain areas and are involved in memory formation and neurogenesis, which results in behavioral changes in rodent models. The current study investigated the potential association of genetic variability of incretin receptors with alcohol dependence and alcohol-related psychosymptomatology. Alcohol dependence and comorbid psychosymptomatology were assessed in a cohort of Slovenian male participants, comprised of 89 hospitalized alcohol-dependent patients, 98 abstinent alcohol-dependent patients, and 93 healthy blood donors. All participants were genotyped for rs1800437 and rs10305420 and rs6923761 polymorphisms. For the statistical analysis Kruskal-Wall and Mann-Whitney tests were used in additive and dominant genetic models. Our findings indicated that rs1800437 genotypes were associated with an increased risk of alcohol dependence. Statistically significant association between rs1800437 GG genotype and Brief Social Phobia Scale scores were observed in the abstinent alcohol-dependent patients, while rs6923761 GG genotype was associated with Zung anxiety scores in healthy controls. Our pilot study indicates that rs1800437 may play some role in susceptibility to alcohol dependence, as well as in alcohol-related psychosymptomatology symptoms. To our knowledge, this is the first study that indicates the involvement of in alcohol dependence. However, studies with larger cohorts are needed to confirm these preliminary findings.

摘要

酒精依赖是一种慢性精神障碍,会导致患者及其亲属生活质量下降,并给社会带来相当大的负担。肠促胰岛素激素,如葡萄糖依赖性促胰岛素多肽(GIP)和胰高血糖素样肽1(GLP-1)是内源性肠脑肽,它们可以穿过血脑屏障并进入神经系统。它们各自的受体GIPR和GLP-1R在与奖赏相关的脑区表达,并参与记忆形成和神经发生,这在啮齿动物模型中导致行为改变。本研究调查了肠促胰岛素受体基因变异性与酒精依赖及酒精相关精神症状之间的潜在关联。在一组斯洛文尼亚男性参与者中评估了酒精依赖和共病精神症状,该组包括89名住院酒精依赖患者、98名戒酒的酒精依赖患者和93名健康献血者。对所有参与者进行了rs1800437、rs10305420和rs6923761多态性的基因分型。在加性和显性遗传模型中使用Kruskal-Wall和Mann-Whitney检验进行统计分析。我们的研究结果表明,rs1800437基因型与酒精依赖风险增加有关。在戒酒的酒精依赖患者中观察到rs1800437 GG基因型与简明社交恐怖量表评分之间存在统计学显著关联,而rs6923761 GG基因型与健康对照中的zung焦虑评分相关。我们的初步研究表明,rs1800437可能在酒精依赖易感性以及酒精相关精神症状中起一定作用。据我们所知,这是第一项表明[此处原文缺失相关内容]参与酒精依赖的研究。然而,需要更大样本队列的研究来证实这些初步发现。

https://cdn.ncbi.nlm.nih.gov/pmc/blobs/e4f8/9218814/ec78799beec0/fnmol-15-908948-g001.jpg

文献AI研究员

20分钟写一篇综述,助力文献阅读效率提升50倍。

立即体验

用中文搜PubMed

大模型驱动的PubMed中文搜索引擎

马上搜索

文档翻译

学术文献翻译模型,支持多种主流文档格式。

立即体验