Suppr超能文献

头颈部皮肤血管肉瘤——47例患者的回顾性分析

Cutaneous Angiosarcoma of the Head and Neck-A Retrospective Analysis of 47 Patients.

作者信息

Ramakrishnan Neeraj, Mokhtari Ryan, Charville Gregory W, Bui Nam, Ganjoo Kristen

机构信息

Department of Medicine, Santa Clara Valley Medical Center, 751 S Bascom Ave, San Jose, CA 95128, USA.

Department of Medicine/Oncology, Stanford Medical Center, 300 Pasteur Drive, Stanford, CA 94305, USA.

出版信息

Cancers (Basel). 2022 Aug 8;14(15):3841. doi: 10.3390/cancers14153841.

Abstract

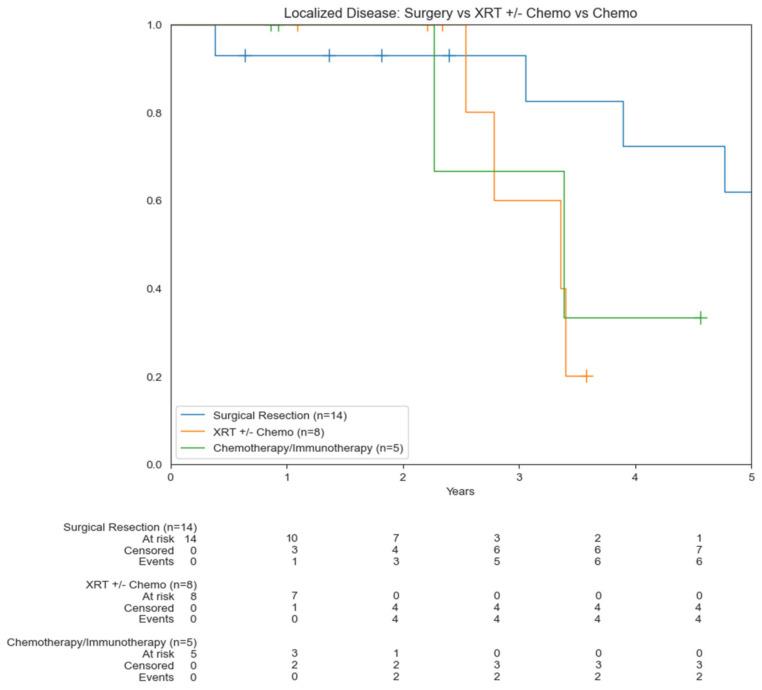
Cutaneous angiosarcoma (CAS) is a rare and aggressive malignant tumor with blood vessel or lymphatic-type endothelial differentiation. It has a poor prognosis with lack of standardized treatment options. This study retrospectively evaluated the clinical characteristics and treatment outcomes of 47 patients with CAS of the head and neck treated at an academic sarcoma center. Patient data were collected from the electronic medical records. 62% of patients were male with the scalp being the most commonly affected area (64%). The majority of patients presented with localized disease (53%). Median overall survival (OS) was 3.4 years with an OS of 36% at 5 years. There was a statistically significant increase in OS for patients who underwent surgery compared to those who did not (5.4 vs. 2.8 years). In contrast, radiotherapy (RT) or chemotherapy did not significantly increase OS. 45% of patients had recurrence of disease during their treatment course with a median time to recurrence of 22.8 months. There was not a significant difference in OS for patients who underwent immunotherapy compared to those who underwent chemotherapy, although only a few patients received immunotherapy. We found that surgery was an effective treatment modality in patients with easily resectable disease, while RT, chemotherapy, and immunotherapy did not significantly improve OS.

摘要

皮肤血管肉瘤(CAS)是一种罕见的侵袭性恶性肿瘤,具有血管或淋巴管型内皮分化。其预后较差,缺乏标准化的治疗方案。本研究回顾性评估了在一家学术性肉瘤中心接受治疗的47例头颈部CAS患者的临床特征和治疗结果。患者数据从电子病历中收集。62%的患者为男性,头皮是最常受累的部位(64%)。大多数患者表现为局限性疾病(53%)。中位总生存期(OS)为3.4年,5年总生存率为36%。与未接受手术的患者相比,接受手术的患者的总生存期有统计学显著增加(5.4年对2.8年)。相比之下,放疗(RT)或化疗并未显著增加总生存期。45%的患者在治疗过程中出现疾病复发,中位复发时间为22.8个月。接受免疫治疗的患者与接受化疗的患者相比,总生存期没有显著差异,尽管只有少数患者接受了免疫治疗。我们发现,手术是疾病易于切除的患者的一种有效治疗方式,而放疗、化疗和免疫治疗并未显著改善总生存期。

https://cdn.ncbi.nlm.nih.gov/pmc/blobs/47a3/9367417/74109539ed6c/cancers-14-03841-g001.jpg

文献AI研究员

20分钟写一篇综述,助力文献阅读效率提升50倍。

立即体验

用中文搜PubMed

大模型驱动的PubMed中文搜索引擎

马上搜索

文档翻译

学术文献翻译模型,支持多种主流文档格式。

立即体验