Suppr超能文献

黑色素瘤中异常甲基化的差异表达基因的鉴定及KIF2C的促肿瘤作用

Identification of aberrantly methylated differentially expressed genes and pro-tumorigenic role of KIF2C in melanoma.

作者信息

Huang Chun-Hui, Han Wei, Wu Yi-Zhu, Shen Guo-Liang

机构信息

Department of Burn and Plastic Surgery, The First Affiliated Hospital of Soochow University, Suzhou, China.

Department of Surgery, Soochow University, Suzhou, China.

出版信息

Front Genet. 2022 Jul 22;13:817656. doi: 10.3389/fgene.2022.817656. eCollection 2022.

Abstract

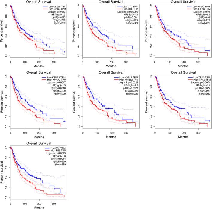
Skin Cutaneous Melanoma (SKCM) is known as an aggressive malignant cancer, which could be directly derived from melanocytic nevi. However, the molecular mechanisms underlying the malignant transformation of melanocytes and melanoma tumor progression still remain unclear. Increasing research showed significant roles of epigenetic modifications, especially DNA methylation, in melanoma. This study focused on the identification and analysis of methylation-regulated differentially expressed genes (MeDEGs) between melanocytic nevus and malignant melanoma in genome-wide profiles. The gene expression profiling datasets (GSE3189 and GSE114445) and gene methylation profiling datasets (GSE86355 and GSE120878) were downloaded from the Gene Expression Omnibus (GEO) database. Differentially expressed genes (DEGs) and differentially methylated genes (DMGs) were identified via GEO2R. MeDEGs were obtained by integrating the DEGs and DMGs. Then, a functional enrichment analysis of MeDEGs was performed. STRING and Cytoscape were used to describe the protein-protein interaction (PPI) network. Furthermore, survival analysis was implemented to select the prognostic hub genes. Next, we conducted gene set enrichment analysis (GSEA) of hub genes. To validate, SKCM cell culture and lentivirus infection was performed to reveal the expression and behavior pattern of KIF2C. Patients and specimens were collected and then immunohistochemistry (IHC) staining was conducted. We identified 237 hypomethylated, upregulated genes and 182 hypermethylated, downregulated genes. Hypomethylation-upregulated genes were enriched in biological processes of the oxidation-reduction process, cell proliferation, cell division, phosphorylation, extracellular matrix disassembly and protein sumoylation. Pathway enrichment showed selenocompound metabolism, small cell lung cancer and lysosome. Hypermethylation-downregulated genes were enriched in biological processes of positive regulation of transcription from RNA polymerase II promoter, cell adhesion, cell proliferation, positive regulation of transcription, DNA-templated and angiogenesis. The most significantly enriched pathways involved the transcriptional misregulation in cancer, circadian rhythm, tight junction, protein digestion and absorption and Hippo signaling pathway. After PPI establishment and survival analysis, seven prognostic hub genes were CKS2, DTL, KIF2C, KPNA2, MYBL2, TPX2, and FBL. Moreover, the most involved hallmarks obtained by GSEA were E2F targets, G2M checkpoint and mitotic spindle. Importantly, among the 7 hub genes, we found that down-regulated level of KIF2C expression significantly inhibited the proliferative ability of SKCM cells and suppressed the metastasis capacity of SKCM cells. Our study identified potential aberrantly methylated-differentially expressed genes participating in the process of malignant transformation from nevus to melanoma tissues based on comprehensive genomic profiles. Transcription profiles of CKS2, DTL, KIF2C, KPNA2, MYBL2, TPX2, and FBL provided clues of aberrantly methylation-based biomarkers, which might improve the development of precision medicine. KIF2C plays a pro-tumorigenic role and potentially inhibited the proliferative ability in SKCM.

摘要

皮肤黑色素瘤(SKCM)是一种侵袭性恶性肿瘤,可直接起源于黑素细胞痣。然而,黑素细胞恶性转化和黑色素瘤肿瘤进展的分子机制仍不清楚。越来越多的研究表明,表观遗传修饰,尤其是DNA甲基化,在黑色素瘤中发挥着重要作用。本研究聚焦于全基因组范围内黑素细胞痣与恶性黑色素瘤之间甲基化调控的差异表达基因(MeDEGs)的鉴定与分析。从基因表达综合数据库(GEO)下载基因表达谱数据集(GSE3189和GSE114445)以及基因甲基化谱数据集(GSE86355和GSE120878)。通过GEO2R鉴定差异表达基因(DEGs)和差异甲基化基因(DMGs)。整合DEGs和DMGs得到MeDEGs。然后,对MeDEGs进行功能富集分析。使用STRING和Cytoscape描述蛋白质-蛋白质相互作用(PPI)网络。此外,进行生存分析以筛选预后关键基因。接下来,对关键基因进行基因集富集分析(GSEA)。为进行验证,开展SKCM细胞培养和慢病毒感染以揭示KIF2C的表达及行为模式。收集患者和标本,然后进行免疫组织化学(IHC)染色。我们鉴定出237个低甲基化、上调基因以及182个高甲基化、下调基因。低甲基化上调基因富集于氧化还原过程、细胞增殖、细胞分裂、磷酸化、细胞外基质分解和蛋白质SUMO化等生物学过程。通路富集显示硒化合物代谢、小细胞肺癌和溶酶体。高甲基化下调基因富集于RNA聚合酶II启动子转录的正调控、细胞黏附、细胞增殖、转录的正调控、DNA模板化和血管生成等生物学过程。最显著富集的通路涉及癌症中的转录失调、昼夜节律、紧密连接、蛋白质消化与吸收以及Hippo信号通路。在构建PPI网络并进行生存分析后,7个预后关键基因为CKS2、DTL、KIF2C、KPNA2、MYBL2、TPX2和FBL。此外,通过GSEA获得的最相关特征为E2F靶点、G2M检查点和有丝分裂纺锤体。重要的是,在这7个关键基因中,我们发现KIF2C表达下调显著抑制SKCM细胞的增殖能力并抑制SKCM细胞的转移能力。我们的研究基于综合基因组图谱鉴定出参与从痣到黑色素瘤组织恶性转化过程的潜在异常甲基化差异表达基因。CKS2、DTL、KIF2C、KPNA2、MYBL2、TPX2和FBL的转录谱提供了基于异常甲基化的生物标志物线索,这可能有助于精准医学的发展。KIF2C发挥促肿瘤作用,并可能抑制SKCM中的增殖能力。

https://cdn.ncbi.nlm.nih.gov/pmc/blobs/187c/9387026/466dd9ee3f2d/fgene-13-817656-g001.jpg

文献AI研究员

20分钟写一篇综述,助力文献阅读效率提升50倍。

立即体验

用中文搜PubMed

大模型驱动的PubMed中文搜索引擎

马上搜索

文档翻译

学术文献翻译模型,支持多种主流文档格式。

立即体验