Suppr超能文献

基于静息态功能磁共振和集成学习的轻度认知障碍分类与可解释性

Classification and Interpretability of Mild Cognitive Impairment Based on Resting-State Functional Magnetic Resonance and Ensemble Learning.

机构信息

Department of Neurology, First Affiliated Hospital, Zhejiang University School of Medicine, Hangzhou 310003, China.

Department of General Practice, First Affiliated Hospital, Zhejiang University School of Medicine, Hangzhou 310003, China.

出版信息

Comput Intell Neurosci. 2022 Aug 19;2022:2535954. doi: 10.1155/2022/2535954. eCollection 2022.

Abstract

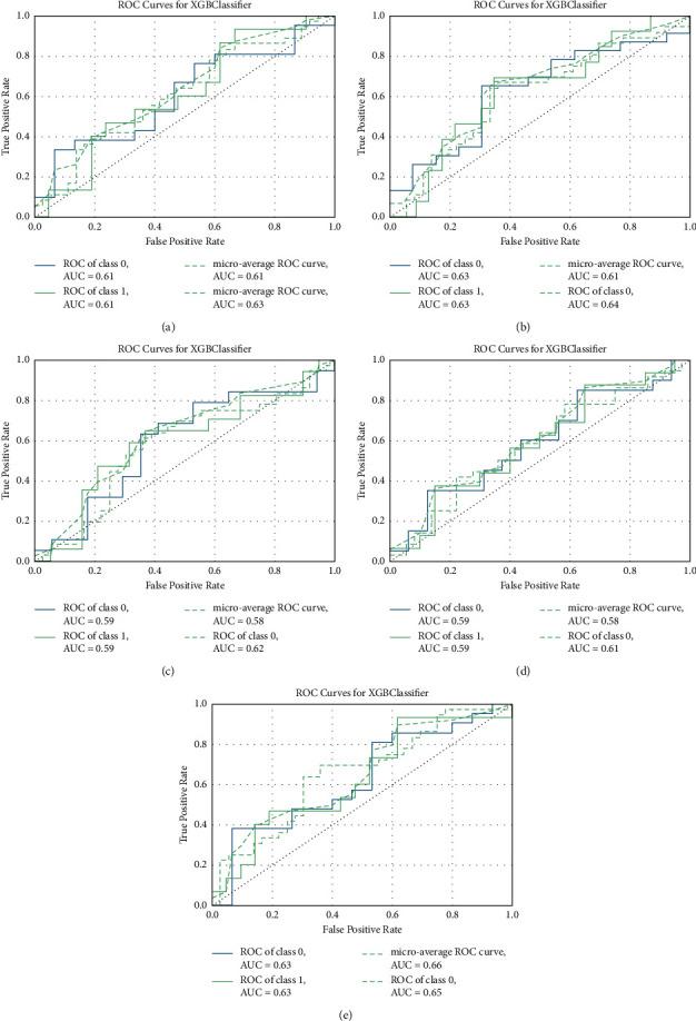
The combination and integration of multimodal imaging and clinical markers have introduced numerous classifiers to improve diagnostic accuracy in detecting and predicting AD; however, many studies cannot ensure the homogeneity of data sets and consistency of results. In our study, the XGBoost algorithm was used to classify mild cognitive impairment (MCI) and normal control (NC) populations through five rs-fMRI analysis datasets. Shapley Additive exPlanations (SHAP) is used to analyze the interpretability of the model. The highest accuracy for diagnosing MCI was 65.14% (using the mPerAF dataset). The characteristics of the left insula, right middle frontal gyrus, and right cuneus correlated positively with the output value using DC datasets. The characteristics of left cerebellum 6, right inferior frontal gyrus, opercular part, and vermis 6 correlated positively with the output value using fALFF datasets. The characteristics of the right middle temporal gyrus, left middle temporal gyrus, left temporal pole, and middle temporal gyrus correlated positively with the output value using mPerAF datasets. The characteristics of the right middle temporal gyrus, left middle temporal gyrus, and left hippocampus correlated positively with the output value using PerAF datasets. The characteristics of left cerebellum 9, vermis 9, and right precentral gyrus, right amygdala, and left middle occipital gyrus correlated positively with the output value using Wavelet-ALFF datasets. We found that the XGBoost algorithm constructed from rs-fMRI data is effective for the diagnosis and classification of MCI. The accuracy rates obtained by different rs-fMRI data analysis methods are similar, but the important features are different and involve multiple brain regions, which suggests that MCI may have a negative impact on brain function.

摘要

多模态影像与临床标记物的结合与整合为提高 AD 检测和预测的诊断准确性引入了众多分类器;然而,许多研究无法保证数据集的同质性和结果的一致性。在我们的研究中,使用 XGBoost 算法通过五个 rs-fMRI 分析数据集对轻度认知障碍(MCI)和正常对照(NC)人群进行分类。Shapley Additive exPlanations(SHAP)用于分析模型的可解释性。使用 mPerAF 数据集诊断 MCI 的准确率最高为 65.14%。使用 DC 数据集时,左侧脑岛、右侧额中回和右侧楔前叶的特征与输出值呈正相关。使用 fALFF 数据集时,左侧小脑 6、右侧额下回、脑岛盖部和小脑 6 与输出值呈正相关。使用 mPerAF 数据集时,右侧颞中回、左侧颞中回、左侧颞极和颞中回的特征与输出值呈正相关。使用 PerAF 数据集时,右侧颞中回、左侧颞中回和左侧海马的特征与输出值呈正相关。使用小波 ALFF 数据集时,左侧小脑 9、小脑 9、右侧中央前回、右侧杏仁核和左侧中枕叶的特征与输出值呈正相关。我们发现,从 rs-fMRI 数据构建的 XGBoost 算法对 MCI 的诊断和分类是有效的。不同 rs-fMRI 数据分析方法的准确率相似,但重要特征不同,涉及多个脑区,这表明 MCI 可能对大脑功能有负面影响。

https://cdn.ncbi.nlm.nih.gov/pmc/blobs/8228/9417789/1a3945ff0c60/CIN2022-2535954.001.jpg

文献AI研究员

20分钟写一篇综述,助力文献阅读效率提升50倍。

立即体验

用中文搜PubMed

大模型驱动的PubMed中文搜索引擎

马上搜索

文档翻译

学术文献翻译模型,支持多种主流文档格式。

立即体验