Suppr超能文献

一个基因子集需要 CTCF 标记在快速有丝分裂后重激活的小鼠胚胎干细胞。

A gene subset requires CTCF bookmarking during the fast post-mitotic reactivation of mouse ES cells.

机构信息

Department of Developmental and Stem Cell Biology, Institut Pasteur, Université Paris Cité, CNRS UMR3738, Epigenomics, Proliferation, and the Identity of Cells Unit, Paris, France.

Equipe Labélisée Ligue Contre le Cancer, Paris, France.

出版信息

EMBO Rep. 2023 Jan 9;24(1):e56075. doi: 10.15252/embr.202256075. Epub 2022 Nov 4.

Abstract

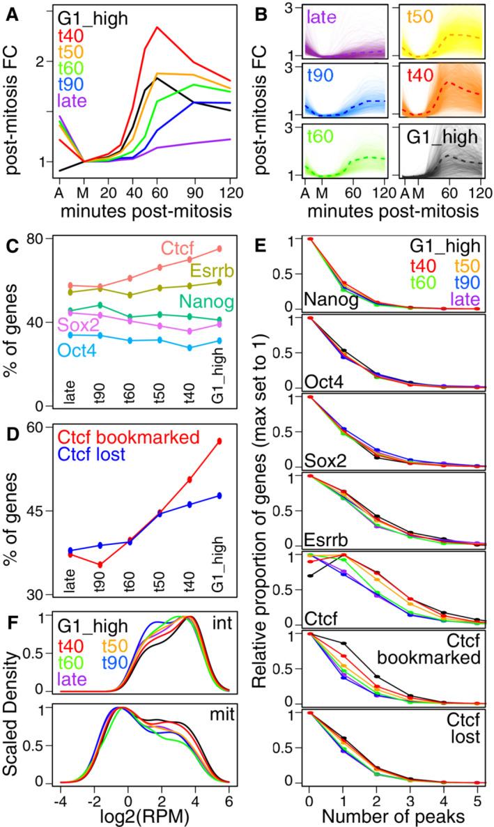
Mitosis leads to global downregulation of transcription that then needs to be efficiently resumed. In somatic cells, this is mediated by a transient hyper-active state that first reactivates housekeeping and then cell identity genes. Here, we show that mouse embryonic stem cells, which display rapid cell cycles and spend little time in G1, also display accelerated reactivation dynamics. This uniquely fast global reactivation lacks specificity towards functional gene families, enabling the restoration of all regulatory functions before DNA replication. Genes displaying the fastest reactivation are bound by CTCF, a mitotic bookmarking transcription factor. In spite of this, the post-mitotic global burst is robust and largely insensitive to CTCF depletion. There are, however, around 350 genes that respond to CTCF depletion rapidly after mitotic exit. Remarkably, these are characterised by promoter-proximal mitotic bookmarking by CTCF. We propose that the structure of the cell cycle imposes distinct constrains to post-mitotic gene reactivation dynamics in different cell types, via mechanisms that are yet to be identified but that can be modulated by mitotic bookmarking factors.

摘要

有丝分裂导致转录的全局下调,然后需要有效地恢复。在体细胞中,这是通过短暂的超活跃状态介导的,首先重新激活管家基因,然后是细胞身份基因。在这里,我们表明,具有快速细胞周期且很少停留在 G1 期的小鼠胚胎干细胞也表现出加速的再激活动力学。这种独特的快速全局再激活对功能基因家族没有特异性,能够在 DNA 复制之前恢复所有调节功能。显示最快再激活的基因被 CTCF 结合,CTCF 是一种有丝分裂书签转录因子。尽管如此,有丝分裂后的全球爆发仍然很强大,并且对 CTCF 耗竭的敏感性很低。然而,大约有 350 个基因在有丝分裂后迅速对 CTCF 耗竭作出反应。值得注意的是,这些基因的特征是由 CTCF 在启动子近端进行有丝分裂书签。我们提出,细胞周期的结构通过尚未确定但可以通过有丝分裂书签因子调节的机制,对不同类型的细胞的有丝分裂后基因再激活动力学施加独特的限制。

https://cdn.ncbi.nlm.nih.gov/pmc/blobs/fadb/9827546/914f9aa4dd3e/EMBR-24-e56075-g005.jpg

文献AI研究员

20分钟写一篇综述,助力文献阅读效率提升50倍。

立即体验

用中文搜PubMed

大模型驱动的PubMed中文搜索引擎

马上搜索

文档翻译

学术文献翻译模型,支持多种主流文档格式。

立即体验