Suppr超能文献

血 C 反应蛋白水平升高对阿尔茨海默病炎症基因 SPI1 和 CD33 的影响。

The impact of increasing levels of blood C-reactive protein on the inflammatory loci SPI1 and CD33 in Alzheimer's disease.

机构信息

Departments of Medicine (Biomedical Genetics), Boston University School of Medicine, Boston, MA, USA.

Departments of Pharmacology & Experimental Therapeutics, Boston University School of Medicine, Boston, MA, USA.

出版信息

Transl Psychiatry. 2022 Dec 22;12(1):523. doi: 10.1038/s41398-022-02281-6.

Abstract

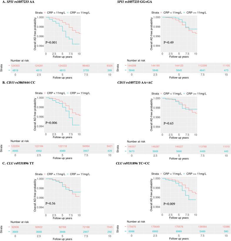
Apolipoprotein ε4 (APOE ε4) is the most significant genetic risk factor for late-onset Alzheimer's disease (AD). Elevated blood C-reactive protein (CRP) further increases the risk of AD for people carrying the APOE ε4 allele. We hypothesized that CRP, as a key inflammatory element, could modulate the impact of other genetic variants on AD risk. We selected ten single nucleotide polymorphisms (SNPs) in reported AD risk loci encoding proteins related to inflammation. We then tested the interaction effects between these SNPs and blood CRP levels on AD incidence using the Cox proportional hazards model in UK Biobank (n = 279,176 white participants with 803 incident AD cases). The five top SNPs were tested for their interaction with different CRP cutoffs for AD incidence in the Framingham Heart Study (FHS) Generation 2 cohort (n = 3009, incident AD = 156). We found that for higher concentrations of serum CRP, the AD risk increased for SNP genotypes in 3 AD-associated genes (SPI1, CD33, and CLU). Using the Cox model in stratified genotype analysis, the hazard ratios (HRs) for the association between a higher CRP level (≥10 vs. <10 mg/L) and the risk of incident AD were 1.94 (95% CI: 1.33-2.84, p < 0.001) for the SPI1 rs1057233-AA genotype, 1.75 (95% CI: 1.20-2.55, p = 0.004) for the CD33 rs3865444-CC genotype, and 1.76 (95% CI: 1.25-2.48, p = 0.001) for the CLU rs9331896-C genotype. In contrast, these associations were not observed in the other genotypes of these genes. Finally, two SNPs were validated in 321 Alzheimer's Disease Neuroimaging (ADNI) Mild Cognitive Impairment (MCI) patients. We observed that the SPI1 and CD33 genotype effects were enhanced by elevated CRP levels for the risk of MCI to AD conversion. Furthermore, the SPI1 genotype was associated with CSF AD biomarkers, including t-Tau and p-Tau, in the ADNI cohort when the blood CRP level was increased (p < 0.01). Our findings suggest that elevated blood CRP, as a peripheral inflammatory biomarker, is an important moderator of the genetic effects of SPI1 and CD33 in addition to APOE ε4 on AD risk. Monitoring peripheral CRP levels may be helpful for precise intervention and prevention of AD for these genotype carriers.

摘要

载脂蛋白 E4(APOE ε4)是导致迟发性阿尔茨海默病(AD)的最重要遗传风险因素。血液 C 反应蛋白(CRP)升高会进一步增加携带 APOE ε4 等位基因的人患 AD 的风险。我们假设 CRP 作为关键的炎症因素,可以调节其他遗传变异对 AD 风险的影响。我们选择了十个报告的 AD 风险基因座中的单核苷酸多态性(SNP),这些基因座编码与炎症相关的蛋白质。然后,我们使用英国生物库中的 Cox 比例风险模型(n=279176 名白人参与者,803 名 AD 病例),测试了这些 SNP 与 CRP 水平对 AD 发病率的交互作用。在弗雷明汉心脏研究(FHS)第二代队列(n=3009,AD 事件数=156)中,用不同的 CRP 截断值对前 5 个 SNP 进行 AD 发病率的交互作用检测。我们发现,对于较高浓度的血清 CRP,与 3 个 AD 相关基因(SPI1、CD33 和 CLU)中的 SNP 基因型相关的 AD 风险增加。使用 Cox 模型进行分层基因型分析,与 CRP 水平升高(≥10 与<10mg/L)与 AD 发病风险之间的关联,SPI1 rs1057233-AA 基因型的 HR 为 1.94(95%CI:1.33-2.84,p<0.001),CD33 rs3865444-CC 基因型的 HR 为 1.75(95%CI:1.20-2.55,p=0.004),CLU rs9331896-C 基因型的 HR 为 1.76(95%CI:1.25-2.48,p=0.001)。相比之下,在这些基因的其他基因型中没有观察到这些关联。最后,在 321 名阿尔茨海默病神经影像学(ADNI)轻度认知障碍(MCI)患者中验证了两个 SNP。我们发现,SPI1 和 CD33 基因型的影响在 CRP 水平升高时增强了 MCI 向 AD 转化的风险。此外,当 CRP 水平升高时,SPI1 基因型与 ADNI 队列中的 AD 生物标志物(包括 t-Tau 和 p-Tau)相关(p<0.01)。我们的研究结果表明,升高的血液 CRP 作为外周炎症生物标志物,是除 APOE ε4 以外,SPI1 和 CD33 对 AD 风险的遗传效应的重要调节剂。监测外周 CRP 水平可能有助于这些基因型携带者进行精确的干预和预防 AD。

https://cdn.ncbi.nlm.nih.gov/pmc/blobs/eb9d/9780312/5d85abc0f21b/41398_2022_2281_Fig1_HTML.jpg

文献AI研究员

20分钟写一篇综述,助力文献阅读效率提升50倍。

立即体验

用中文搜PubMed

大模型驱动的PubMed中文搜索引擎

马上搜索

文档翻译

学术文献翻译模型,支持多种主流文档格式。

立即体验