Suppr超能文献

用于选择性氟化物检测和水净化的开启式荧光胶囊。

Turn-on fluorescent capsule for selective fluoride detection and water purification.

作者信息

Lin Yannan, Du Kang, Gau Michael R, Dmochowski Ivan J

机构信息

Department of Chemistry, University of Pennsylvania 231 S. 34th St. Philadelphia Pennsylvania 19104-6323 USA

出版信息

Chem Sci. 2022 Nov 30;14(2):291-297. doi: 10.1039/d2sc05352g. eCollection 2023 Jan 4.

Abstract

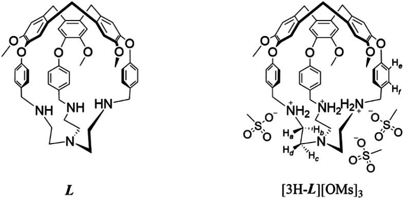
It has been a long-standing challenge to develop organic molecular capsules for selective anion binding in water. Here, selective recognition of aqueous fluoride was achieved through triple protonation of a hemicryptophane (), which is composed of a fluorescent cyclotriveratrylene (CTV) cap and tris(2-aminoethyl)amine (tren) as the anion binding site. Fluoride encapsulation by [3H-] was evidenced by H NMR, F NMR, LC-MS, and X-ray crystallography. In addition, [3H-] exhibited a 'turn-on' fluorescence signal ( = 324 nm) upon fluoride addition. An apparent association constant = (7.5 ± 0.4) × 10 M and a detection limit of 570 nM fluoride were extracted from the fluorescence titration experiments in citrate buffer at pH 4.1. To the best of our knowledge, [3H-] is the first example of a metal-free molecular capsule that reports on fluoride binding in purely aqueous solutions with a fluorescence response. Finally, the protonated capsule was supported on silica gel, which enabled adsorptive removal of stoichiometric fluoride from water and highlights real-world applications of this organic host-guest chemistry.

摘要

开发用于在水中选择性结合阴离子的有机分子胶囊一直是一项长期挑战。在此,通过对半环番()进行三重质子化实现了对水性氟化物的选择性识别,半环番由荧光环三聚藜芦烯(CTV)帽和作为阴离子结合位点的三(2-氨基乙基)胺(tren)组成。通过1H NMR、19F NMR、LC-MS和X射线晶体学证明了[3H-]对氟化物的包封。此外,加入氟化物后,[3H-]呈现出“开启”荧光信号(λ = 324 nm)。在pH 4.1的柠檬酸盐缓冲液中进行的荧光滴定实验得出表观缔合常数Ka = (7.5 ± 0.4) × 105 M和氟化物检测限为570 nM。据我们所知,[3H-]是首个无金属分子胶囊的例子,它能在纯水溶液中通过荧光响应报告氟化物结合情况。最后,将质子化的胶囊负载在硅胶上,这能够从水中吸附化学计量的氟化物,并突出了这种有机主客体化学在实际应用中的价值。

https://cdn.ncbi.nlm.nih.gov/pmc/blobs/07d0/9811533/b5311b4b4169/d2sc05352g-f1.jpg

文献AI研究员

20分钟写一篇综述,助力文献阅读效率提升50倍。

立即体验

用中文搜PubMed

大模型驱动的PubMed中文搜索引擎

马上搜索

文档翻译

学术文献翻译模型,支持多种主流文档格式。

立即体验