Suppr超能文献

评估绝对结合自由能在片段优化过程中的应用。

Evaluating the use of absolute binding free energy in the fragment optimisation process.

作者信息

Alibay Irfan, Magarkar Aniket, Seeliger Daniel, Biggin Philip Charles

机构信息

Department of Biochemistry, The University of Oxford, South Parks Road, OX1 3QU, Oxford, UK.

Boehringer Ingelheim Pharma GmbH & Co. KG, Birkendorfer Str. 65, 88397, Biberach an de Riß, Germany.

出版信息

Commun Chem. 2022 Sep 5;5(1):105. doi: 10.1038/s42004-022-00721-4.

Abstract

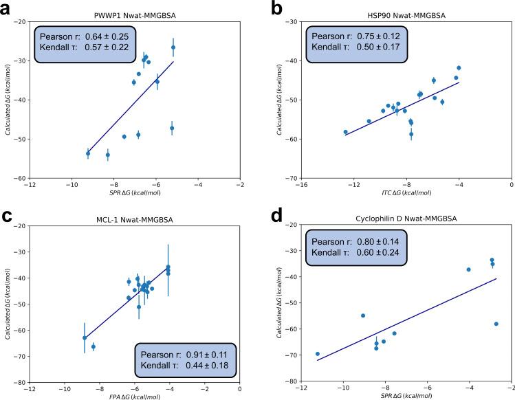
Key to the fragment optimisation process within drug design is the need to accurately capture the changes in affinity that are associated with a given set of chemical modifications. Due to the weakly binding nature of fragments, this has proven to be a challenging task, despite recent advancements in leveraging experimental and computational methods. In this work, we evaluate the use of Absolute Binding Free Energy (ABFE) calculations in guiding fragment optimisation decisions, retrospectively calculating binding free energies for 59 ligands across 4 fragment elaboration campaigns. We first demonstrate that ABFEs can be used to accurately rank fragment-sized binders with an overall Spearman's r of 0.89 and a Kendall τ of 0.67, although often deviating from experiment in absolute free energy values with an RMSE of 2.75 kcal/mol. We then also show that in several cases, retrospective fragment optimisation decisions can be supported by the ABFE calculations. Comparing against cheaper endpoint methods, namely N-MM/GBSA, we find that ABFEs offer better ranking power and correlation metrics. Our results indicate that ABFE calculations can usefully guide fragment elaborations to maximise affinity.

摘要

药物设计中片段优化过程的关键在于需要准确捕捉与给定化学修饰集相关的亲和力变化。由于片段的弱结合性质,尽管在利用实验和计算方法方面取得了最新进展,但事实证明这是一项具有挑战性的任务。在这项工作中,我们评估了绝对结合自由能(ABFE)计算在指导片段优化决策中的应用,回顾性地计算了4个片段扩展活动中59种配体的结合自由能。我们首先证明,ABFE可用于准确地对片段大小的结合剂进行排名,斯皮尔曼相关系数r总体为0.89,肯德尔系数τ为0.67,尽管在绝对自由能值上常常与实验结果存在偏差,均方根误差为2.75千卡/摩尔。然后我们还表明,在几种情况下,回顾性片段优化决策可以得到ABFE计算的支持。与更便宜的端点方法即N-MM/GBSA相比,我们发现ABFE具有更好的排名能力和相关指标。我们的结果表明,ABFE计算可以有效地指导片段扩展以最大化亲和力。

https://cdn.ncbi.nlm.nih.gov/pmc/blobs/c61a/9814858/775267547470/42004_2022_721_Fig1_HTML.jpg

文献AI研究员

20分钟写一篇综述,助力文献阅读效率提升50倍。

立即体验

用中文搜PubMed

大模型驱动的PubMed中文搜索引擎

马上搜索

文档翻译

学术文献翻译模型,支持多种主流文档格式。

立即体验