Suppr超能文献

血清 miR-181d-5p 水平对控制性卵巢刺激的反应:预测价值和生物学功能。

Serum miR-181d-5p levels in response to controlled ovarian stimulation: predictive value and biological function.

机构信息

Department of Structural and Functional Biology, Institute of Biology, University of Campinas - UNICAMP, Campinas, Brazil.

Fertility Medical Group, Sao Paulo, Brazil.

出版信息

JBRA Assist Reprod. 2023 Sep 12;27(3):391-400. doi: 10.5935/1518-0557.20220053.

Abstract

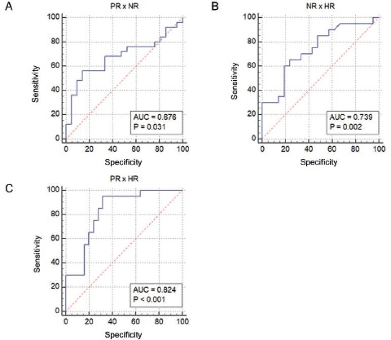
The response to controlled ovarian stimulation (COS) for in vitro fertilization (IVF) varies dramatically from one patient to another, affecting success rates. A previous large-scale study identified increased serum miR-181d-5p levels in patients with high response to COS prior to stimulation. We aim to evaluate whether the expression of miR-181d-5p differs according to the ovarian response to COS in women undergoing intracytoplasmic sperm injection (ICSI) cycles. Samples collected prior to COS for ICSI were split into three groups depending on the ovarian response to COS: poor response (PR), <4 oocytes retrieved (n=25); normal response (NR), ≥8 and ≤12 oocytes retrieved (n=21); and high response (HR), >25 oocytes retrieved (n=20). miR-181d-5p serum levels were compared among experimental groups. miR-181d-5p levels were increased in the HR group when compared to the PR (p=0.0001) and NR groups (p=0.0079). miR-181d-5p levels correlated with the number of aspirated follicles (p<0.0001), retrieved oocytes (p<0.0001), and mature oocytes (p=0.0002). Increased miR-181d-5p levels independently predict a high response (p=0.006), with Positive and Negative Predictive Values of 66.7% and 69.4%, respectively. miR-181d-5p was also detected in the ovarian tissue in a mouse model. Moreover, computational analysis of miR-181d-5p predicted targets and promoter region suggested that this miRNA might be involved in the regulation of key signaling pathways and biological processes for female reproductive biology. In conclusion, miR-181d-5p is a promising circulating predictor of high stimulation and potential mediator of the hypothalamus-pituitary-gonad axis, providing opportunities for the individualization of COS protocols.

摘要

卵巢刺激反应(COS)对体外受精(IVF)的反应因人而异,差异很大,这会影响成功率。先前的一项大规模研究表明,在刺激前,对 COS 反应高的患者血清 miR-181d-5p 水平升高。我们旨在评估在接受胞浆内精子注射(ICSI)周期的妇女中,miR-181d-5p 的表达是否根据 COS 对卵巢的反应而有所不同。在 ICSI 进行 COS 之前采集的样本根据 COS 对卵巢的反应分为三组:反应不良(PR),<4 个卵母细胞回收(n=25);正常反应(NR),≥8 个和≤12 个卵母细胞回收(n=21);高反应(HR),>25 个卵母细胞回收(n=20)。比较实验组之间的 miR-181d-5p 血清水平。与 PR(p=0.0001)和 NR 组(p=0.0079)相比,HR 组的 miR-181d-5p 水平升高。miR-181d-5p 水平与抽吸卵泡数(p<0.0001)、回收卵母细胞数(p<0.0001)和成熟卵母细胞数(p=0.0002)相关。miR-181d-5p 水平升高独立预测高反应(p=0.006),阳性和阴性预测值分别为 66.7%和 69.4%。在小鼠模型中也检测到卵巢组织中的 miR-181d-5p。此外,对 miR-181d-5p 预测靶标和启动子区域的计算分析表明,该 miRNA 可能参与调节女性生殖生物学的关键信号通路和生物学过程。总之,miR-181d-5p 是一种有前途的高刺激循环预测因子,也是下丘脑-垂体-性腺轴的潜在介质,为 COS 方案的个体化提供了机会。

https://cdn.ncbi.nlm.nih.gov/pmc/blobs/3d24/10712832/994336b7f605/jbra-27-03-0391-g01.jpg

文献AI研究员

20分钟写一篇综述,助力文献阅读效率提升50倍。

立即体验

用中文搜PubMed

大模型驱动的PubMed中文搜索引擎

马上搜索

文档翻译

学术文献翻译模型,支持多种主流文档格式。

立即体验