Suppr超能文献

miR-181a-5p与雌激素受体信号级联在乳腺癌中的调控相互作用

Regulatory Interplay between miR-181a-5p and Estrogen Receptor Signaling Cascade in Breast Cancer.

作者信息

Benedetti Rosaria, Papulino Chiara, Sgueglia Giulia, Chianese Ugo, De Marchi Tommaso, Iovino Francesco, Rotili Dante, Mai Antonello, Niméus Emma, Dell' Aversana Carmela, Altucci Lucia

机构信息

Department of Precision Medicine, University of Campania Luigi Vanvitelli, 80138 Naples, Italy.

Department of Oncology and Pathology, Lund University, SE-221 00 Lund, Sweden.

出版信息

Cancers (Basel). 2021 Feb 1;13(3):543. doi: 10.3390/cancers13030543.

Abstract

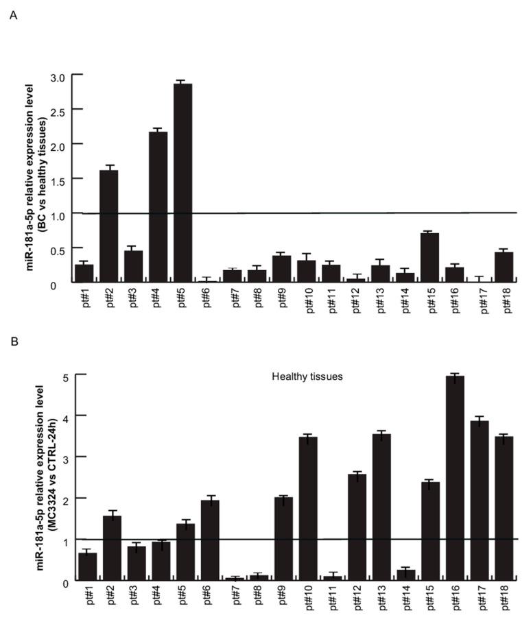
The efficacy and side effects of endocrine therapy in breast cancer (BC) depend largely on estrogen receptor alpha (ERα) expression, the specific drug administered, and treatment scheduling. Although the benefits of endocrine therapy outweigh any adverse effects in the initial stages of BC, later- or advanced-stage tumors acquire resistance to treatments. The mechanisms underlying tumor resistance to therapy are still not well understood, posing a major challenge for BC patient care. Epigenetic regulation and miRNA expression may be involved in the switch from a treatment-sensitive to a treatment-resistant state and could provide a valid therapeutic strategy for ERα negative BC. Here, a hybrid lysine-specific histone demethylase inhibitor, MC3324, displaying selective estrogen receptor down-regulator-like activities in BC, was used to highlight the interplay between epigenetic and ERα signaling. MC3324 anticancer action is mediated by microRNA (miRNA) expression regulation, indicating an innovative function for this molecule. Integrated analysis suggests a crosstalk between estrogen signaling, ERα interactors, miRNAs, and their putative targets. Specifically, miR-181a-5p expression is regulated by MC3324 and has an impact on cellular levels of ERα. A comparison of breast tumor versus healthy mammary tissues confirmed the important role of miR-181a-5p in ERα regulation and points to its putative predictive function in BC therapy.

摘要

内分泌治疗在乳腺癌(BC)中的疗效和副作用很大程度上取决于雌激素受体α(ERα)的表达、所使用的特定药物以及治疗方案。尽管在乳腺癌的初始阶段,内分泌治疗的益处超过了任何不良反应,但晚期或进展期肿瘤会对治疗产生耐药性。肿瘤对治疗产生耐药性的潜在机制仍未完全了解,这对乳腺癌患者的护理构成了重大挑战。表观遗传调控和miRNA表达可能参与了从治疗敏感状态到治疗耐药状态的转变,并可能为ERα阴性乳腺癌提供有效的治疗策略。在此,一种杂合的赖氨酸特异性组蛋白去甲基化酶抑制剂MC3324,在乳腺癌中表现出类似选择性雌激素受体下调剂的活性,被用于突出表观遗传与ERα信号之间的相互作用。MC3324的抗癌作用是由微小RNA(miRNA)表达调控介导的,这表明该分子具有创新功能。综合分析表明雌激素信号、ERα相互作用蛋白、miRNA及其假定靶点之间存在相互作用。具体而言,miR-181a-5p的表达受MC3324调控,并对ERα的细胞水平产生影响。乳腺肿瘤组织与健康乳腺组织的比较证实了miR-181a-5p在ERα调控中的重要作用,并指出了其在乳腺癌治疗中的潜在预测功能。

https://cdn.ncbi.nlm.nih.gov/pmc/blobs/9dbe/7867078/cf9d2a3caa9f/cancers-13-00543-g001.jpg

文献AI研究员

20分钟写一篇综述,助力文献阅读效率提升50倍。

立即体验

用中文搜PubMed

大模型驱动的PubMed中文搜索引擎

马上搜索

文档翻译

学术文献翻译模型,支持多种主流文档格式。

立即体验