Suppr超能文献

柠檬香蜂草精油的抑菌活性及其抑菌机制。

Antibacterial Activity and Antibacterial Mechanism of Lemon Verbena Essential Oil.

机构信息

College of Food and Tourism, Shanghai Urban Construction Vocational College, Shanghai 201415, China.

College of Food Sciences and Technology, Shanghai Ocean University, Shanghai 200233, China.

出版信息

Molecules. 2023 Mar 30;28(7):3102. doi: 10.3390/molecules28073102.

Abstract

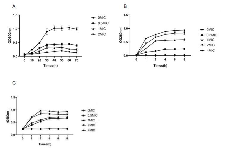
The destructive effect and mode of action of lemon verbena essential oil on cells were investigated, taking the isolated as the research object. The extracellular absorbance of the increased at OD260 and OD280 after being treated with lemon verbena essential oil, which destroyed the integrity of cells, showing a significant effect on preventing biomembrane formation and destroying the formed biomembrane. With an increased concentration of lemon verbena essential oil, extracellular polysaccharide showed a significant decrease in content and a significant increase in inhibition rate, indicating that the secretion of extracellular polysaccharide by cells could be inhibited by lemon verbena essential oil during the process of biomembrane formation. Cell introcession and shrinkage appeared after the treatment with essential oil, and a transparent cavity was formed by the out-flowed cell content. Lemon verbena essential oil destroyed the cell wall, resulting in an enhanced permeability of the cell membrane and leakage of the contents, thereby causing cell death.

摘要

研究了柠檬马鞭草精油对细胞的破坏作用和作用方式,以分离的 为研究对象。柠檬马鞭草精油处理后, 细胞外的吸光度在 OD260 和 OD280 处增加,破坏了 细胞的完整性,对防止生物膜形成和破坏已形成的生物膜有显著作用。随着柠檬马鞭草精油浓度的增加,细胞外多糖的含量显著下降,抑制率显著升高,表明柠檬马鞭草精油在生物膜形成过程中可抑制 细胞分泌细胞外多糖。用精油处理后细胞内陷和收缩,流出的细胞内容物形成透明的腔。柠檬马鞭草精油破坏细胞壁,导致细胞膜通透性增强和内容物泄漏,从而导致细胞死亡。

https://cdn.ncbi.nlm.nih.gov/pmc/blobs/2305/10096342/120064f8035e/molecules-28-03102-g001.jpg

文献AI研究员

20分钟写一篇综述,助力文献阅读效率提升50倍。

立即体验

用中文搜PubMed

大模型驱动的PubMed中文搜索引擎

马上搜索

文档翻译

学术文献翻译模型,支持多种主流文档格式。

立即体验