Suppr超能文献

分析大量胰腺癌转录组谱,揭示最强的预后因素。

Analysis of a large cohort of pancreatic cancer transcriptomic profiles to reveal the strongest prognostic factors.

机构信息

Károly Rácz Doctoral School of Clinical Medicine, Semmelweis University, Budapest, Hungary.

Oncology Biomarker Research Group, Institute of Enzymology, Research Centre for Natural Sciences, Budapest, Hungary.

出版信息

Clin Transl Sci. 2023 Aug;16(8):1479-1491. doi: 10.1111/cts.13563. Epub 2023 Jun 6.

Abstract

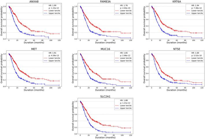
Pancreatic adenocarcinoma remains a leading cause of cancer-related deaths. In order to develop appropriate therapeutic and prognostic tools, a comprehensive mapping of the tumor's molecular abnormalities is essential. Here, our aim was to integrate available transcriptomic data to uncover genes whose elevated expression is simultaneously linked to cancer pathogenesis and inferior survival. A comprehensive search was performed in GEO to identify clinical studies with transcriptome-level gene expression data of pancreatic carcinoma with overall survival data and normal pancreatic tissues. After quantile normalization, the entire database was used to identify genes with altered expression. Cox proportional hazard regression was employed to uncover genes most strongly correlated with survival with a Bonferroni corrected p < 0.01. Perturbed biological processes and molecular pathways were identified to enable the understanding of underlying processes. A total of 16 available datasets were combined. The aggregated database comprised data of 1640 samples for 20,443 genes. When comparing with normal pancreatic tissues, a total of 2612 upregulated and 1977 downregulated genes were uncovered in pancreatic carcinoma. Among these, we found 24 genes with higher expression which significantly correlated with overall survival length also. The most significant genes were ANXA8, FAM83A, KRT6A, MET, MUC16, NT5E, and SLC2A1. These genes remained significant after a multivariate analysis also including grade and stage. Here, we assembled a large-scale database of pancreatic carcinoma samples and used this cohort to identify carcinoma-specific genes linked to altered survival outcomes. As our analysis focused on genes with higher expression, these could serve as future therapy targets.

摘要

胰腺导管腺癌仍然是癌症相关死亡的主要原因。为了开发适当的治疗和预后工具,全面描绘肿瘤的分子异常是至关重要的。在这里,我们的目的是整合可用的转录组数据,以揭示同时与癌症发病机制和生存不良相关的上调基因。在 GEO 中进行了全面搜索,以确定具有胰腺癌转录组水平基因表达数据和正常胰腺组织的总生存数据的临床研究。进行分位数归一化后,整个数据库用于识别表达发生改变的基因。使用 Cox 比例风险回归来揭示与生存最相关的基因,校正后的 p 值<0.01。识别失调的生物过程和分子途径,以了解潜在的过程。共合并了 16 个可用数据集。汇总数据库包含 1640 个样本的 20443 个基因的数据。与正常胰腺组织相比,在胰腺导管腺癌中总共发现了 2612 个上调和 1977 个下调的基因。在这些基因中,我们发现了 24 个表达水平较高且与总生存长度显著相关的基因。最显著的基因是 ANXA8、FAM83A、KRT6A、MET、MUC16、NT5E 和 SLC2A1。这些基因在包括分级和分期在内的多变量分析后仍然具有显著意义。在这里,我们组装了一个大规模的胰腺导管腺癌样本数据库,并使用该队列来识别与改变的生存结果相关的癌特异性基因。由于我们的分析集中在表达水平较高的基因上,这些基因可以作为未来的治疗靶点。

https://cdn.ncbi.nlm.nih.gov/pmc/blobs/29e5/10432876/c8edbdddfaa8/CTS-16-1479-g004.jpg

文献AI研究员

20分钟写一篇综述,助力文献阅读效率提升50倍。

立即体验

用中文搜PubMed

大模型驱动的PubMed中文搜索引擎

马上搜索

文档翻译

学术文献翻译模型,支持多种主流文档格式。

立即体验