Suppr超能文献

使用双路测序技术定量检测急性髓系白血病成人患者的可测量残留病。

Quantification of measurable residual disease using duplex sequencing in adults with acute myeloid leukemia.

机构信息

Laboratory of Myeloid Malignancies, Hematology Branch, National Heart, Lung, and Blood Institute, National Institutes of Health, Bethesda, MD.

TwinStrand Biosciences, Seattle, WA.

出版信息

Haematologica. 2024 Feb 1;109(2):401-410. doi: 10.3324/haematol.2023.283520.

Abstract

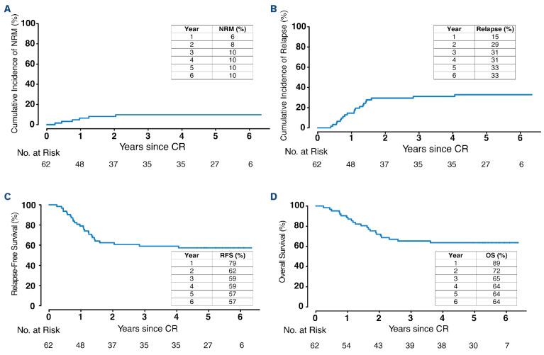
The presence of measurable residual disease (MRD) is strongly associated with treatment outcomes in acute myeloid leukemia (AML). Despite the correlation with clinical outcomes, MRD assessment has yet to be standardized or routinely incorporated into clinical trials and discrepancies have been observed between different techniques for MRD assessment. In 62 patients with AML, aged 18-60 years, in first complete remission after intensive induction therapy on the randomized phase III SWOG-S0106 clinical trial (clinicaltrials gov. Identifier: NCT00085709), MRD detection by centralized, high-quality multiparametric flow cytometry was compared with a 29-gene panel utilizing duplex sequencing (DS), an ultrasensitive next-generation sequencing method that generates double-stranded consensus sequences to reduce false positive errors. MRD as defined by DS was observed in 22 (35%) patients and was strongly associated with higher rates of relapse (68% vs. 13%; hazard ratio [HR] =8.8; 95% confidence interval [CI]: 3.2-24.5; P<0.001) and decreased survival (32% vs. 82%; HR=5.6; 95% CI: 2.3-13.8; P<0.001) at 5 years. DS MRD strongly outperformed multiparametric flow cytometry MRD, which was observed in ten (16%) patients and marginally associated with higher rates of relapse (50% vs. 30%; HR=2.4; 95% CI: 0.9-6.7; P=0.087) and decreased survival (40% vs. 68%; HR=2.5; 95% CI: 1.0-6.3; P=0.059) at 5 years. Furthermore, the prognostic significance of DS MRD status at the time of remission for subsequent relapse was similar on both randomized arms of the trial. These findings suggest that next-generation sequencing-based AML MRD testing is a powerful tool that could be developed for use in patient management and for early anti-leukemic treatment assessment in clinical trials.

摘要

在急性髓系白血病 (AML) 中,可测量的残留疾病 (MRD) 的存在与治疗结果密切相关。尽管与临床结果相关,但 MRD 评估尚未标准化或常规纳入临床试验,并且不同的 MRD 评估技术之间存在差异。在随机 III 期 SWOG-S0106 临床试验(clinicaltrials.gov 标识符:NCT00085709)中,62 名年龄在 18-60 岁的处于强化诱导治疗后首次完全缓解的 AML 患者中,通过集中、高质量的多参数流式细胞术检测 MRD,并与利用双工测序 (DS) 的 29 基因 panel 进行比较,DS 是一种超灵敏的下一代测序方法,可生成双链共识序列以减少假阳性错误。在 22 名患者 (35%) 中观察到 DS 定义的 MRD,与更高的复发率 (68% vs. 13%;危险比 [HR]=8.8;95%置信区间 [CI]:3.2-24.5;P<0.001) 和降低的存活率 (32% vs. 82%;HR=5.6;95% CI:2.3-13.8;P<0.001) 相关。DS MRD 明显优于在 10 名患者 (16%) 中观察到的多参数流式细胞术 MRD,与更高的复发率 (50% vs. 30%;HR=2.4;95% CI:0.9-6.7;P=0.087) 和降低的存活率 (40% vs. 68%;HR=2.5;95% CI:1.0-6.3;P=0.059) 相关。此外,缓解时 DS MRD 状态对随后复发的预后意义在试验的两个随机臂上相似。这些发现表明,基于下一代测序的 AML MRD 检测是一种强大的工具,可以用于患者管理和临床试验中的早期抗白血病治疗评估。

https://cdn.ncbi.nlm.nih.gov/pmc/blobs/d259/10828764/c934428935b4/109401.fig1.jpg

文献AI研究员

20分钟写一篇综述,助力文献阅读效率提升50倍。

立即体验

用中文搜PubMed

大模型驱动的PubMed中文搜索引擎

马上搜索

文档翻译

学术文献翻译模型,支持多种主流文档格式。

立即体验