Suppr超能文献

南极海洋细菌作为对抗ESKAPE病原体的抗生物膜分子来源

Antarctic Marine Bacteria as a Source of Anti-Biofilm Molecules to Combat ESKAPE Pathogens.

作者信息

Artini Marco, Papa Rosanna, Vrenna Gianluca, Trecca Marika, Paris Irene, D'Angelo Caterina, Tutino Maria Luisa, Parrilli Ermenegilda, Selan Laura

机构信息

Department of Public Health and Infectious Diseases, Sapienza University, p.le Aldo Moro 5, 00185 Rome, Italy.

Research Unit of Diagnostical and Management Innovations, Children's Hospital and Institute Research Bambino Gesù, 00165 Rome, Italy.

出版信息

Antibiotics (Basel). 2023 Oct 21;12(10):1556. doi: 10.3390/antibiotics12101556.

Abstract

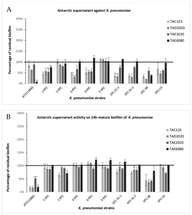
The ESKAPE pathogens, including bacteria such as , , , , , and species, pose a global health threat due to their ability to resist antimicrobial drugs and evade the immune system. These pathogens are responsible for hospital-acquired infections, especially in intensive care units, and contribute to the growing problem of multi-drug resistance. In this study, researchers focused on exploring the potential of Antarctic marine bacteria as a source of anti-biofilm molecules to combat ESKAPE pathogens. Four Antarctic bacterial strains were selected, and their cell-free supernatants were tested against 60 clinical ESKAPE isolates. The results showed that the supernatants did not exhibit antimicrobial activity but effectively prevented biofilm formation and dispersed mature biofilms. This research highlights the promising potential of Antarctic bacteria in producing compounds that can counteract biofilms formed by clinically significant bacterial species. These findings contribute to the development of new strategies for preventing and controlling infections caused by ESKAPE pathogens.

摘要

包括粪肠球菌(Enterococcus faecalis)、金黄色葡萄球菌(Staphylococcus aureus)、肺炎克雷伯菌(Klebsiella pneumoniae)、鲍曼不动杆菌(Acinetobacter baumannii)、铜绿假单胞菌(Pseudomonas aeruginosa)和肠杆菌属(Enterobacter)等细菌在内的ESKAPE病原体,因其具有抗抗菌药物和逃避免疫系统的能力,对全球健康构成威胁。这些病原体是医院获得性感染的罪魁祸首,尤其是在重症监护病房,并且加剧了多重耐药性这一日益严重的问题。在本研究中,研究人员专注于探索南极海洋细菌作为抗生物膜分子来源以对抗ESKAPE病原体的潜力。挑选了四株南极细菌菌株,并用它们的无细胞上清液对60株临床ESKAPE分离株进行了测试。结果表明,这些上清液没有表现出抗菌活性,但能有效防止生物膜形成并分散成熟的生物膜。这项研究突出了南极细菌在产生能够对抗由具有临床意义的细菌物种形成的生物膜的化合物方面的巨大潜力。这些发现有助于制定预防和控制由ESKAPE病原体引起的感染的新策略。

https://cdn.ncbi.nlm.nih.gov/pmc/blobs/2916/10604463/60a4f7884445/antibiotics-12-01556-g001.jpg

文献AI研究员

20分钟写一篇综述,助力文献阅读效率提升50倍。

立即体验

用中文搜PubMed

大模型驱动的PubMed中文搜索引擎

马上搜索

文档翻译

学术文献翻译模型,支持多种主流文档格式。

立即体验