Suppr超能文献

表达细胞内主要组织相容性复合体II类分子和C-X-C基序趋化因子配体10的中性粒细胞表明了由……诱导的抗肿瘤活性状态。

Intracellular Major Histocompatibility Complex Class II and C-X-C Motif Chemokine Ligand 10-Expressing Neutrophils Indicate the State of Anti-Tumor Activity Induced by .

作者信息

Takeda Yuji, Kato Tomoyuki, Sabrina Saima, Naito Sei, Ito Hiromi, Emi Naoto, Kuboki Yuya, Takai Yuki, Fukuhara Hiroki, Ushijima Masaki, Narisawa Takafumi, Yagi Mayu, Kanno Hidenori, Sakurai Toshihiko, Nishida Hayato, Araki Akemi, Shimotai Yoshitaka, Nagashima Mikako, Nouchi Yusuke, Saitoh Shinichi, Nara Hidetoshi, Tsuchiya Norihiko, Asao Hironobu

机构信息

Department of Immunology, Faculty of Medicine, Yamagata University, Yamagata 990-9585, Japan.

Department of Urology, Faculty of Medicine, Yamagata University, Yamagata 990-9585, Japan.

出版信息

Biomedicines. 2023 Nov 15;11(11):3062. doi: 10.3390/biomedicines11113062.

Abstract

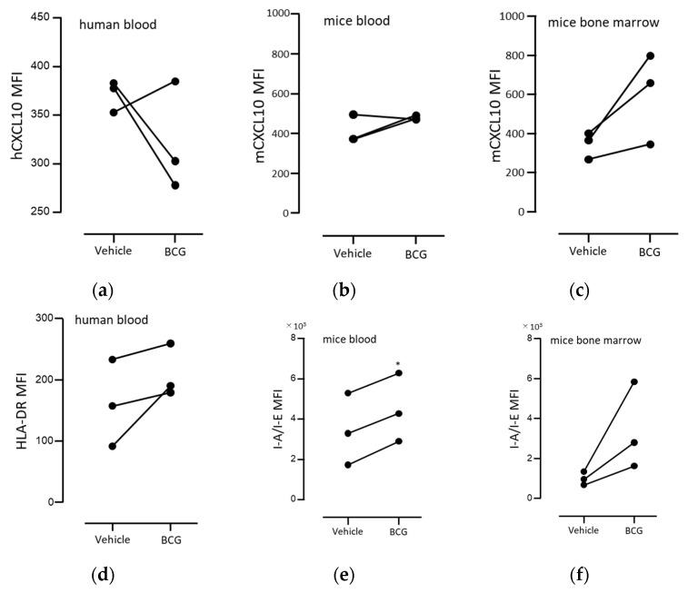
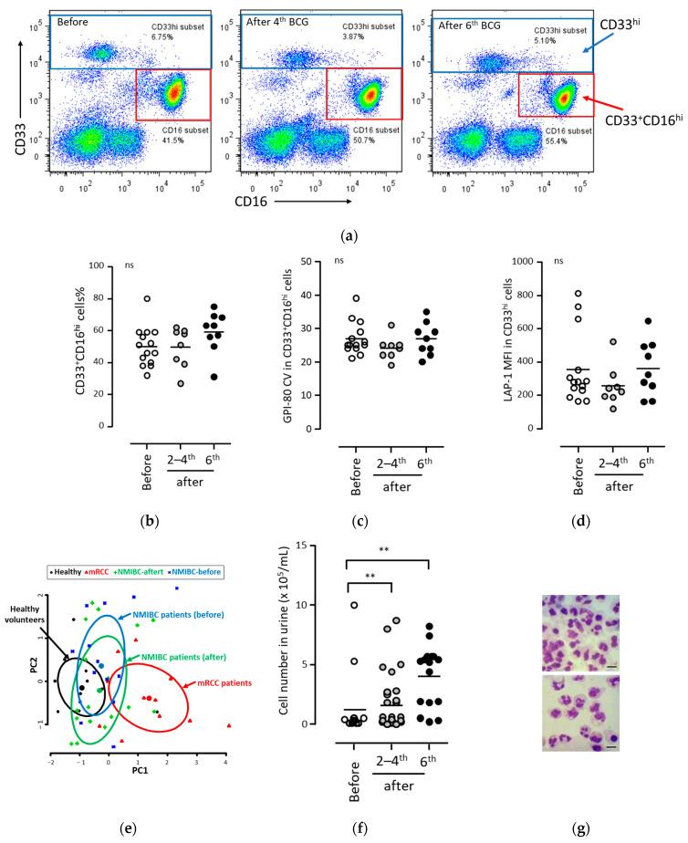
(1) Background: Inflammatory responses induce the formation of both anti-tumor and pro-tumor neutrophils known as myeloid-derived suppressor cells (MDSCs). Intermittent intravesical infusion of (BCG) is an established cancer immunotherapy for non-muscle-invasive bladder cancer (NMIBC). However, the types of neutrophils induced via the inflammatory response to both tumor-bearing and BCG remain unclear. (2) Methods: We therefore analyzed neutrophil dynamics in the peripheral blood and urine of patients with NMIBC who received BCG therapy. Further, we analyzed the effects of BCG in a mouse intraperitoneal tumor model. (3) Results: BCG therapy induced the formation of CXCL10 and MHC class II-positive neutrophils in the urine of patients with NMIBC but did not induce MDSC formation. CXCL10- and MHC class II-expressing neutrophils were detected in peritoneal exudate cells formed after BCG administration. Partial neutrophil depletion using an anti-Ly6G antibody suppressed the upregulation of CXCL10 and MHC class II in neutrophils and reversed the anti-tumor activity of BCG in mouse models. (4) Conclusions: These results indicated that intracellular MHC class II- and CXCL10-expressing neutrophils indicate the state of anti-tumor activity induced via BCG. The status of neutrophils in mixed inflammation of immunosuppressive and anti-tumor responses may therefore be useful for evaluating immunological systemic conditions.

摘要

(1) 背景:炎症反应可诱导形成抗肿瘤和促肿瘤中性粒细胞,即髓系来源抑制细胞(MDSCs)。卡介苗(BCG)间歇性膀胱内灌注是一种用于非肌层浸润性膀胱癌(NMIBC)的成熟癌症免疫疗法。然而,由荷瘤和卡介苗引发的炎症反应所诱导的中性粒细胞类型仍不清楚。(2) 方法:因此,我们分析了接受卡介苗治疗的非肌层浸润性膀胱癌患者外周血和尿液中的中性粒细胞动态变化。此外,我们在小鼠腹腔肿瘤模型中分析了卡介苗的作用。(3) 结果:卡介苗治疗可诱导非肌层浸润性膀胱癌患者尿液中CXCL10和MHC II类阳性中性粒细胞的形成,但不会诱导MDSC的形成。在卡介苗给药后形成的腹腔渗出细胞中检测到了表达CXCL10和MHC II类的中性粒细胞。使用抗Ly6G抗体进行部分中性粒细胞耗竭可抑制中性粒细胞中CXCL10和MHC II类的上调,并逆转卡介苗在小鼠模型中的抗肿瘤活性。(4) 结论:这些结果表明,细胞内表达MHC II类和CXCL10的中性粒细胞表明了卡介苗诱导的抗肿瘤活性状态。因此,免疫抑制和抗肿瘤反应混合炎症中中性粒细胞的状态可能有助于评估免疫性全身状况。

https://cdn.ncbi.nlm.nih.gov/pmc/blobs/d1f4/10669614/efba938f3340/biomedicines-11-03062-g001a.jpg

文献AI研究员

20分钟写一篇综述,助力文献阅读效率提升50倍。

立即体验

用中文搜PubMed

大模型驱动的PubMed中文搜索引擎

马上搜索

文档翻译

学术文献翻译模型,支持多种主流文档格式。

立即体验