Suppr超能文献

利用医疗智能手机应用程序对慢性皮肤病患者进行自动化机器学习分析:回顾性研究。

Automated Machine Learning Analysis of Patients With Chronic Skin Disease Using a Medical Smartphone App: Retrospective Study.

机构信息

Department of Dermatology, Venereology and Allergology, University Medical Center and Medical Faculty Mannheim, Center of Excellence in Dermatology, Heidelberg University, Mannheim, Germany.

Department of Medicine V, Division of Rheumatology, University Medical Centre and Medical Faculty Mannheim, Heidelberg University, Mannheim, Germany.

出版信息

J Med Internet Res. 2023 Nov 28;25:e50886. doi: 10.2196/50886.

Abstract

BACKGROUND

Rapid digitalization in health care has led to the adoption of digital technologies; however, limited trust in internet-based health decisions and the need for technical personnel hinder the use of smartphones and machine learning applications. To address this, automated machine learning (AutoML) is a promising tool that can empower health care professionals to enhance the effectiveness of mobile health apps.

OBJECTIVE

We used AutoML to analyze data from clinical studies involving patients with chronic hand and/or foot eczema or psoriasis vulgaris who used a smartphone monitoring app. The analysis focused on itching, pain, Dermatology Life Quality Index (DLQI) development, and app use.

METHODS

After extensive data set preparation, which consisted of combining 3 primary data sets by extracting common features and by computing new features, a new pseudonymized secondary data set with a total of 368 patients was created. Next, multiple machine learning classification models were built during AutoML processing, with the most accurate models ultimately selected for further data set analysis.

RESULTS

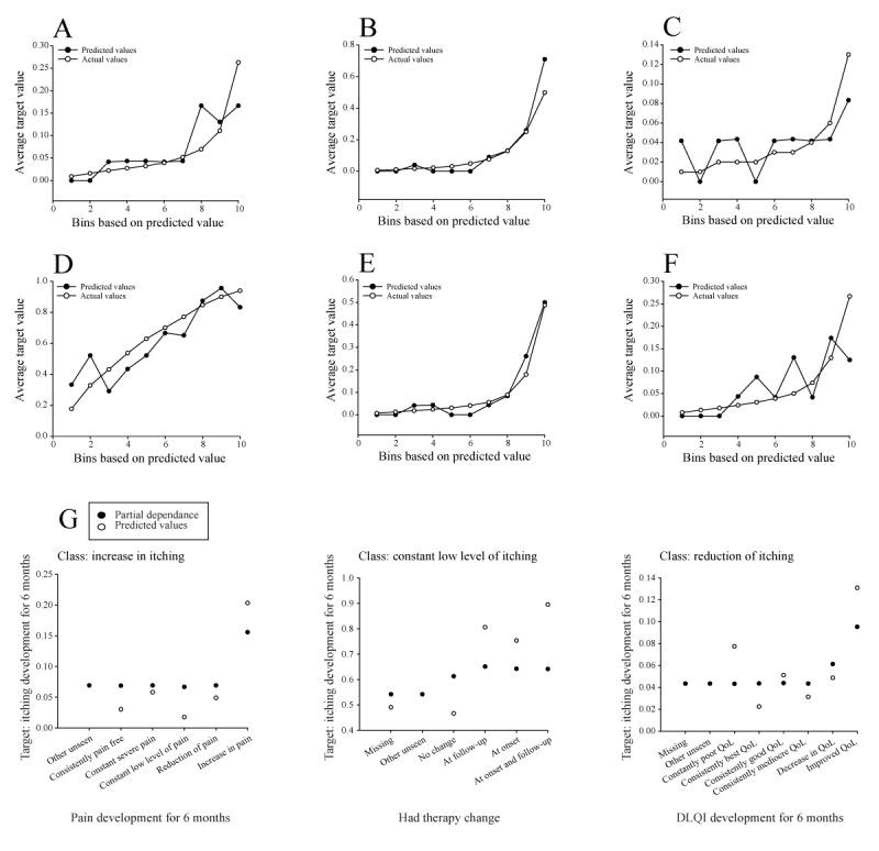
Itching development for 6 months was accurately modeled using the light gradient boosted trees classifier model (log loss: 0.9302 for validation, 1.0193 for cross-validation, and 0.9167 for holdout). Pain development for 6 months was assessed using the random forest classifier model (log loss: 1.1799 for validation, 1.1561 for cross-validation, and 1.0976 for holdout). Then, the random forest classifier model (log loss: 1.3670 for validation, 1.4354 for cross-validation, and 1.3974 for holdout) was used again to estimate the DLQI development for 6 months. Finally, app use was analyzed using an elastic net blender model (area under the curve: 0.6567 for validation, 0.6207 for cross-validation, and 0.7232 for holdout). Influential feature correlations were identified, including BMI, age, disease activity, DLQI, and Hospital Anxiety and Depression Scale-Anxiety scores at follow-up. App use increased with BMI >35, was less common in patients aged >47 years and those aged 23 to 31 years, and was more common in those with higher disease activity. A Hospital Anxiety and Depression Scale-Anxiety score >8 had a slightly positive effect on app use.

CONCLUSIONS

This study provides valuable insights into the relationship between data characteristics and targeted outcomes in patients with chronic eczema or psoriasis, highlighting the potential of smartphone and AutoML techniques in improving chronic disease management and patient care.

摘要

背景

医疗保健领域的快速数字化导致了数字技术的采用;然而,人们对基于互联网的健康决策的信任有限,以及对技术人员的需求,阻碍了智能手机和机器学习应用的使用。为了解决这个问题,自动化机器学习(AutoML)是一种很有前途的工具,可以使医疗保健专业人员能够增强移动健康应用的效果。

目的

我们使用 AutoML 分析了涉及慢性手部和/或足部湿疹或寻常性银屑病患者使用智能手机监测应用的临床研究数据。分析重点是瘙痒、疼痛、皮肤病生活质量指数(DLQI)发展和应用使用情况。

方法

在广泛的数据准备之后,我们创建了一个新的假名化二级数据集,该数据集由 3 个原始数据集组成,通过提取共同特征和计算新特征进行合并,共有 368 名患者。然后,在 AutoML 处理过程中构建了多个机器学习分类模型,最终选择最准确的模型进行进一步的数据集分析。

结果

使用轻梯度提升树分类器模型(验证时的对数损失:0.9302,交叉验证时的对数损失:1.0193,保留时的对数损失:0.9167)准确地预测了 6 个月的瘙痒发展情况。使用随机森林分类器模型(验证时的对数损失:1.1799,交叉验证时的对数损失:1.1561,保留时的对数损失:1.0976)评估了 6 个月的疼痛发展情况。然后,再次使用随机森林分类器模型(验证时的对数损失:1.3670,交叉验证时的对数损失:1.4354,保留时的对数损失:1.3974)估计 6 个月的 DLQI 发展情况。最后,使用弹性网络搅拌机模型(验证时的曲线下面积:0.6567,交叉验证时的曲线下面积:0.6207,保留时的曲线下面积:0.7232)分析应用程序的使用情况。确定了有影响力的特征相关性,包括 BMI、年龄、疾病活动度、DLQI 和随访时的医院焦虑和抑郁量表焦虑评分。BMI>35 时应用程序的使用增加,年龄>47 岁和 23 至 31 岁的患者应用程序使用较少,疾病活动度较高的患者应用程序使用较多。医院焦虑和抑郁量表焦虑评分>8 对应用程序的使用有轻微的积极影响。

结论

本研究提供了有关慢性湿疹或银屑病患者数据特征与靶向结局之间关系的有价值的见解,强调了智能手机和 AutoML 技术在改善慢性病管理和患者护理方面的潜力。

https://cdn.ncbi.nlm.nih.gov/pmc/blobs/cd87/10716771/c693ba4d6529/jmir_v25i1e50886_fig1.jpg

文献AI研究员

20分钟写一篇综述,助力文献阅读效率提升50倍。

立即体验

用中文搜PubMed

大模型驱动的PubMed中文搜索引擎

马上搜索

文档翻译

学术文献翻译模型,支持多种主流文档格式。

立即体验