Suppr超能文献

既往感染和接种疫苗对BA.5奥密克戎亚变体再感染的保护作用:日本一项基于全国人群的研究

Protective effect of previous infection and vaccination against reinfection with BA.5 Omicron subvariant: a nationwide population-based study in Japan.

作者信息

Kitamura Noriko, Otani Kanako, Kinoshita Ryo, Yan Fangyu, Takizawa Yu, Fukushima Kohei, Yoneoka Daisuke, Suzuki Motoi, Kamigaki Taro

机构信息

Center for Surveillance, Immunization, and Epidemiologic Research, National Institute of Infectious Diseases, Tokyo, Japan.

出版信息

Lancet Reg Health West Pac. 2023 Sep 25;41:100911. doi: 10.1016/j.lanwpc.2023.100911. eCollection 2023 Dec.

Abstract

BACKGROUND

The Omicron variant of SARS-CoV-2 was reported to evade immunity derived from vaccination and previous infection. A better understanding of hybrid immunity informs effective infection control strategies. Since the reinfection risk was not well-assessed in East Asia, this study aims to evaluate the risk of infection with Omicron subvariant BA.5 among previously infected individuals in Japan.

METHODS

All notified cases were extracted from the Japanese national COVID-19 surveillance database including 20,297,335 records up to 25 September 2022. Reinfection with BA.5 was defined as the infection notified during the BA.5 dominated period with any prior SARS-CoV-2 infection. The protective effect of prior infections against reinfections with BA.5 was estimated by applying a case-population design and the protective effect of vaccination was estimated by a multivariable Cox regression adjusting for age, sex, variants of prior infection, and the time since the last vaccination.

FINDINGS

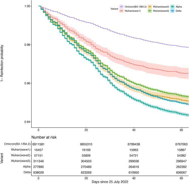
Among 19,830,548 SARS-CoV-2 first infections, 233,424 (1.2%) were reinfected with BA.5. The protective effect against BA.5 reinfection of prior infection with Wuhan strain was 46%, Alpha variant was 35%, Delta variant was 41%, and BA.1/BA.2 subvariant was 74%. The reduced risk of BA.5 reinfection by 7%, 33%, and 66% was associated with two, three, and four doses of vaccination, respectively, compared with one-dose vaccination.

INTERPRETATION

The prior infections with Omicron subvariant BA.1/BA.2 protected BA.5 reinfection more than pre-Omicron variants. Increased frequency of vaccination led to more protection from reinfection with BA.5. Up-to-date vaccination may be encouraged to prevent future reinfection among the previously infected population.

FUNDING

None.

摘要

背景

据报道,严重急性呼吸综合征冠状病毒2(SARS-CoV-2)的奥密克戎变种能够逃避疫苗接种和既往感染所产生的免疫力。更好地了解混合免疫有助于制定有效的感染控制策略。由于东亚地区对再次感染风险的评估不足,本研究旨在评估日本既往感染个体感染奥密克戎亚型BA.5的风险。

方法

从日本全国新冠肺炎监测数据库中提取所有报告病例,该数据库包含截至2022年9月25日的20,297,335条记录。BA.5再次感染定义为在BA.5主导期间报告的感染,且既往有任何SARS-CoV-2感染史。采用病例-人群设计估计既往感染对BA.5再次感染的保护作用,采用多变量Cox回归估计疫苗接种的保护作用,对年龄、性别、既往感染的变种以及最后一次接种后的时间进行调整。

研究结果

在19,830,548例SARS-CoV-2首次感染中,233,424例(1.2%)再次感染BA.5。既往感染武汉株对BA.5再次感染的保护作用为46%,阿尔法变种为35%,德尔塔变种为41%,BA.1/BA.2亚型为74%。与接种一剂疫苗相比,接种两剂、三剂和四剂疫苗分别使BA.5再次感染风险降低7%、33%和66%。

解读

奥密克戎亚型BA.1/BA.2既往感染对BA.5再次感染的保护作用比奥密克戎之前的变种更强。接种疫苗次数增加可增强对BA.5再次感染的保护作用。可能需要鼓励及时接种疫苗,以预防既往感染人群未来的再次感染。

资金来源

无。

https://cdn.ncbi.nlm.nih.gov/pmc/blobs/9acb/10786644/ea56c9b3019f/gr1.jpg

文献AI研究员

20分钟写一篇综述,助力文献阅读效率提升50倍。

立即体验

用中文搜PubMed

大模型驱动的PubMed中文搜索引擎

马上搜索

文档翻译

学术文献翻译模型,支持多种主流文档格式。

立即体验