Suppr超能文献

评估新冠病毒疫苗接种对德尔塔变异株流行期间家庭传播风险的影响:一项基于人群的数据关联队列研究。

Assessing the effects of SARS-CoV-2 vaccination on the risk of household transmission during delta variant circulation: a population-based data linkage cohort study.

作者信息

Vogt Florian, Rebuli Nic, Cretikos Michelle, Liu Bette, Macartney Kristine, Kaldor John, Wood James

机构信息

The Kirby Institute, UNSW Sydney, Kensington, New South Wales, 2052, Australia.

National Centre for Epidemiology and Population Health, Australian National University, Canberra, Australian Capital Territory, Australia.

出版信息

Lancet Reg Health West Pac. 2023 Oct 16;42:100930. doi: 10.1016/j.lanwpc.2023.100930. eCollection 2024 Jan.

Abstract

BACKGROUND

Data on SARS-CoV-2 vaccine effectiveness to reduce transmission of infection in household settings are limited. We examined the effects of SARS-CoV-2 vaccines on Delta variant transmission within households in an infection-naïve population.

METHODS

This was a population-based data linkage cohort study in the Greater Sydney Metropolitan Area, New South Wales, Australia based on cases observed in June-November 2021. In households with ≥1 confirmed COVID-19 case, we calculated adjusted odds ratios (aOR) and 95% Confidence Intervals (95% CI) for the risk of SARS-CoV-2 transmission, by vaccination status (unvaccinated, partially vaccinated, fully vaccinated, or waning) and type of vaccines (mRNA or vector-based) received by both index cases and household contacts.

FINDINGS

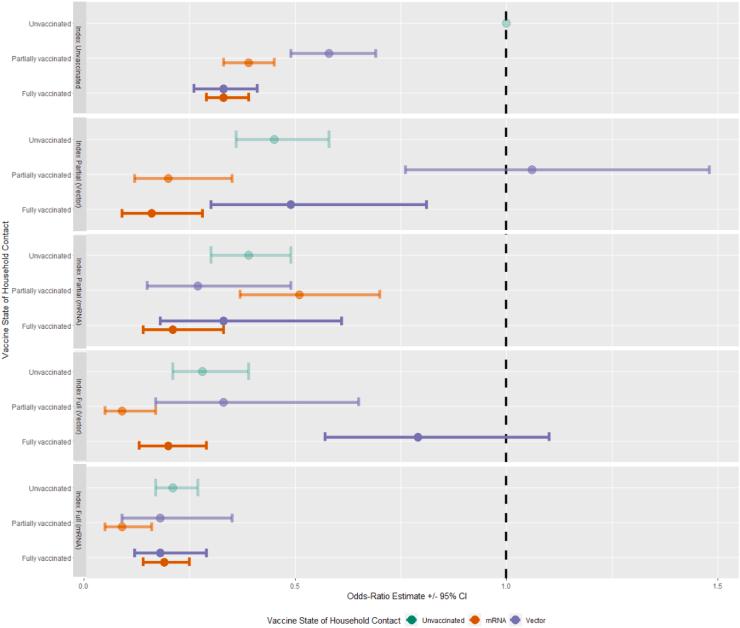
In 20,651 households with a single index case, 18,542 of 72,768 (25%) household contacts tested PCR-positive ≤14 days after their respective index case. Household contacts with partial, full, or waning mRNA vaccination had aORs of 0.46 (95% CI 0.40-0.52), 0.36 (95% CI 0.32-0.41) and 0.64 (95% CI 0.51-0.80) compared to unvaccinated contacts, while for vector vaccines the corresponding aORs were 0.77 (95% CI 0.67-0.89), 0.65 (95% CI 0.55-0.76), and 0.64 (95% CI 0.39-1.05). Full mRNA-vaccination in index cases compared to non-vaccination was associated with aORs between 0.09 and 0.21 depending on the vaccination status of household contacts.

INTERPRETATION

Full vaccination of household contacts reduced the odds to acquire infection with the SARS-CoV-2 Delta variant in household settings by two thirds for mRNA vaccines and by one third for vector vaccines. For index cases, being fully vaccinated with an mRNA vaccine reduced the odds of onwards transmission by four-fifths compared to unvaccinated index cases. Full vaccination offered stronger protection than partial vaccination, particularly for mRNA vaccines, but with reduced effects when the last vaccination preceded exposure by ≥3 months.

FUNDING

New South Wales Ministry of Health.

摘要

背景

关于严重急性呼吸综合征冠状病毒2(SARS-CoV-2)疫苗在家庭环境中降低感染传播效果的数据有限。我们研究了SARS-CoV-2疫苗对未感染人群家庭中德尔塔变异株传播的影响。

方法

这是一项基于人群的数据关联队列研究,在澳大利亚新南威尔士州大悉尼都会区,基于2021年6月至11月观察到的病例。在有≥1例确诊新冠病毒病病例的家庭中,我们按疫苗接种状态(未接种、部分接种、完全接种或疫苗效力减弱)以及索引病例和家庭接触者所接种疫苗的类型(信使核糖核酸(mRNA)或载体疫苗),计算SARS-CoV-2传播风险的调整比值比(aOR)和95%置信区间(95%CI)。

研究结果

在有单个索引病例的20,651个家庭中,72,768名家庭接触者中有18,542人(25%)在各自索引病例后≤14天的新冠病毒核酸检测呈阳性。与未接种疫苗的接触者相比,部分接种、完全接种或疫苗效力减弱的mRNA疫苗接种家庭接触者的aOR分别为0.46(95%CI 0.40 - 0.52)、0.36(95%CI 0.32 - 0.41)和0.64(95%CI 0.51 - 0.80),而对于载体疫苗,相应的aOR分别为0.77(95%CI 0.67 - 0.89)、0.65(95%CI 0.55 - 0.76)和0.64(95%CI 0.39 - 1.05)。索引病例中完全接种mRNA疫苗与未接种相比,根据家庭接触者的疫苗接种状态,aOR在0.09至0.21之间。

解读

家庭接触者完全接种疫苗可使家庭环境中感染SARS-CoV-2德尔塔变异株的几率降低三分之二(mRNA疫苗)和三分之一(载体疫苗)。对于索引病例,与未接种疫苗的索引病例相比,完全接种mRNA疫苗可使传播几率降低五分之四。完全接种比部分接种提供更强的保护,特别是对于mRNA疫苗,但当最后一次接种在暴露前≥3个月时,效果会降低。

资助情况

新南威尔士州卫生部。

https://cdn.ncbi.nlm.nih.gov/pmc/blobs/2da6/10865045/6dbf7778a2fe/gr1.jpg

文献AI研究员

20分钟写一篇综述,助力文献阅读效率提升50倍。

立即体验

用中文搜PubMed

大模型驱动的PubMed中文搜索引擎

马上搜索

文档翻译

学术文献翻译模型,支持多种主流文档格式。

立即体验