Suppr超能文献

埃及医院泌尿道致病性大肠杆菌的抗菌药物耐药性、生物膜形成与毒力决定因子之间的相关性

Correlation between antimicrobial resistance, biofilm formation, and virulence determinants in uropathogenic Escherichia coli from Egyptian hospital.

机构信息

Department of Pharmaceutical Microbiology, Faculty of Pharmacy, Tanta University, Tanta, 31511, Egypt.

出版信息

Ann Clin Microbiol Antimicrob. 2024 Feb 24;23(1):20. doi: 10.1186/s12941-024-00679-2.

Abstract

BACKGROUND

Uropathogenic Escherichia coli (UPEC) is the main etiological agent behind community-acquired and hospital-acquired urinary tract infections (UTIs), which are among the most prevalent human infections. The management of UPEC infections is becoming increasingly difficult owing to multi-drug resistance, biofilm formation, and the possession of an extensive virulence arsenal. This study aims to characterize UPEC isolates in Tanta, Egypt, with regard to their antimicrobial resistance, phylogenetic profile, biofilm formation, and virulence, as well as the potential associations among these factors.

METHODS

One hundred UPEC isolates were obtained from UTI patients in Tanta, Egypt. Antimicrobial susceptibility was assessed using the Kirby-Bauer method. Extended-spectrum β-lactamases (ESBLs) production was screened using the double disk synergy test and confirmed with PCR. Biofilm formation was evaluated using the microtiter-plate assay and microscopy-based techniques. The phylogenetic groups of the isolates were determined. The hemolytic activity, motility, siderophore production, and serum resistance of the isolates were also evaluated. The clonal relatedness of the isolates was assessed using ERIC-PCR.

RESULTS

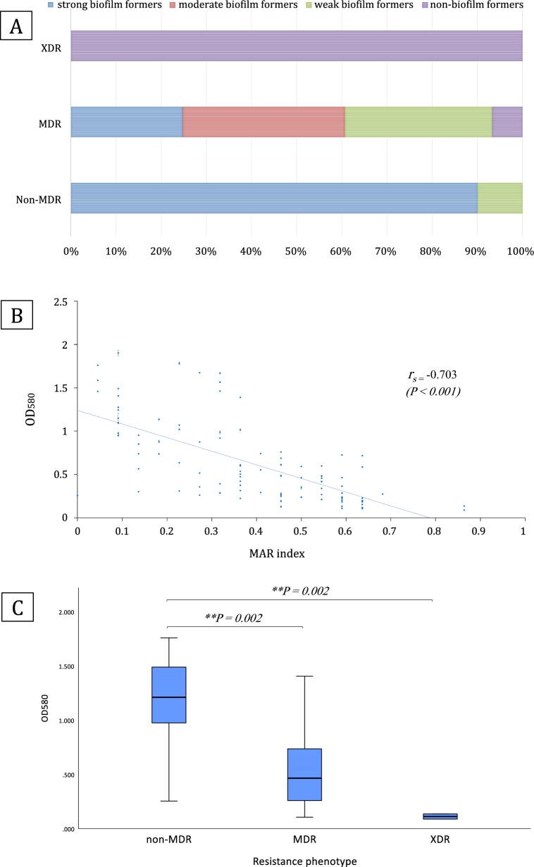
Isolates displayed elevated resistance to cephalosporins (90-43%), sulfamethoxazole-trimethoprim (63%), and ciprofloxacin (53%). Ninety percent of the isolates were multidrug-resistant (MDR)/ extensively drug-resistant (XDR) and 67% produced ESBLs. Notably, there was an inverse correlation between biofilm formation and antimicrobial resistance, and 31%, 29%, 32%, and 8% of the isolates were strong, moderate, weak, and non-biofilm producers, respectively. Beta-hemolysis, motility, siderophore production, and serum resistance were detected in 64%, 84%, 65%, and 11% of the isolates, respectively. Siderophore production was correlated to resistance to multiple antibiotics, while hemolysis was more prevalent in susceptible isolates and associated with stronger biofilms. Phylogroups B2 and D predominated, with lower resistance and stronger biofilms in group B2. ERIC-PCR revealed considerable diversity among the isolates.

CONCLUSION

This research highlights the dissemination of resistance in UPEC in Tanta, Egypt. The evident correlation between biofilm and resistance suggests a resistance cost on bacterial cells; and that isolates with lower resistance may rely on biofilms to enhance their survival. This emphasizes the importance of considering biofilm formation ability during the treatment of UPEC infections to avoid therapeutic failure and/or infection recurrence.

摘要

背景

尿路致病性大肠杆菌(UPEC)是社区获得性和医院获得性尿路感染(UTI)的主要病原体,UTI 是最常见的人类感染之一。由于多药耐药性、生物膜形成和广泛的毒力武器库的存在,UPEC 感染的管理变得越来越困难。本研究旨在描述埃及坦塔的 UPEC 分离株的抗菌耐药性、系统发育特征、生物膜形成和毒力,并探讨这些因素之间的潜在关联。

方法

从埃及坦塔的 UTI 患者中获得了 100 株 UPEC 分离株。使用 Kirby-Bauer 法评估抗菌药物敏感性。使用双碟协同试验筛选超广谱β-内酰胺酶(ESBLs)的产生,并通过 PCR 进行确认。使用微量平板测定法和基于显微镜的技术评估生物膜形成。确定分离株的系统发育群。还评估了分离株的溶血活性、运动性、铁载体产生和血清抗性。使用 ERIC-PCR 评估分离株的克隆相关性。

结果

分离株对头孢菌素(90-43%)、磺胺甲恶唑-甲氧苄啶(63%)和环丙沙星(53%)的耐药性升高。90%的分离株为多药耐药(MDR)/广泛耐药(XDR),67%产生 ESBLs。值得注意的是,生物膜形成与抗菌耐药性呈负相关,31%、29%、32%和 8%的分离株分别为强、中、弱和非生物膜形成者。64%、84%、65%和 11%的分离株分别产生β溶血、运动性、铁载体产生和血清抗性。铁载体产生与对多种抗生素的耐药性相关,而溶血在敏感分离株中更为常见,并与更强的生物膜相关。B2 和 D 群为主,B2 群的耐药性较低,生物膜较强。ERIC-PCR 显示分离株之间存在相当大的多样性。

结论

本研究强调了埃及坦塔 UPEC 中耐药性的传播。生物膜与耐药性之间的明显相关性表明,细菌细胞存在耐药代价;耐药性较低的分离株可能依赖生物膜来提高其存活率。这强调了在治疗 UPEC 感染时考虑生物膜形成能力的重要性,以避免治疗失败和/或感染复发。

https://cdn.ncbi.nlm.nih.gov/pmc/blobs/c98a/10894499/a72e6c257551/12941_2024_679_Fig1_HTML.jpg

文献AI研究员

20分钟写一篇综述,助力文献阅读效率提升50倍。

立即体验

用中文搜PubMed

大模型驱动的PubMed中文搜索引擎

马上搜索

文档翻译

学术文献翻译模型,支持多种主流文档格式。

立即体验