Suppr超能文献

全国性研究中晚期儿童恶性肿瘤的抗PD-1治疗:皮肤黑色素瘤和霍奇金淋巴瘤疗效良好

Anti-PD-1 Therapy in Advanced Pediatric Malignancies in Nationwide Study: Good Outcome in Skin Melanoma and Hodgkin Lymphoma.

作者信息

Marjańska Agata, Pawińska-Wąsikowska Katarzyna, Wieczorek Aleksandra, Drogosiewicz Monika, Dembowska-Bagińska Bożenna, Bobeff Katarzyna, Młynarski Wojciech, Adamczewska-Wawrzynowicz Katarzyna, Wachowiak Jacek, Krawczyk Małgorzata A, Irga-Jaworska Ninela, Węcławek-Tompol Jadwiga, Kałwak Krzysztof, Sawicka-Żukowska Małgorzata, Krawczuk-Rybak Maryna, Raciborska Anna, Mizia-Malarz Agnieszka, Sobocińska-Mirska Agata, Łaguna Paweł, Balwierz Walentyna, Styczyński Jan

机构信息

Department of Pediatric, Hematology and Oncology, Jurasz University Hospital, Collegium Medicum, Nicolaus Copernicus University Toruń, 85-094 Bydgoszcz, Poland.

Department of Pediatric, Oncology and Hematology, Jagiellonian University Medical College, 30-663 Cracow, Poland.

出版信息

Cancers (Basel). 2024 Feb 28;16(5):968. doi: 10.3390/cancers16050968.

Abstract

BACKGROUND/AIM: The role of immune checkpoint inhibitors (ICIs; anti-PD1) in the treatment of childhood cancers is still evolving. The aim of this nationwide retrospective study was to assess the safety and effectiveness of ICIs used in a group of 42 patients, with a median age of 13.6 years, with various types of advanced malignancies treated in pediatric oncology centers in Poland between 2015 and 2023.

RESULTS

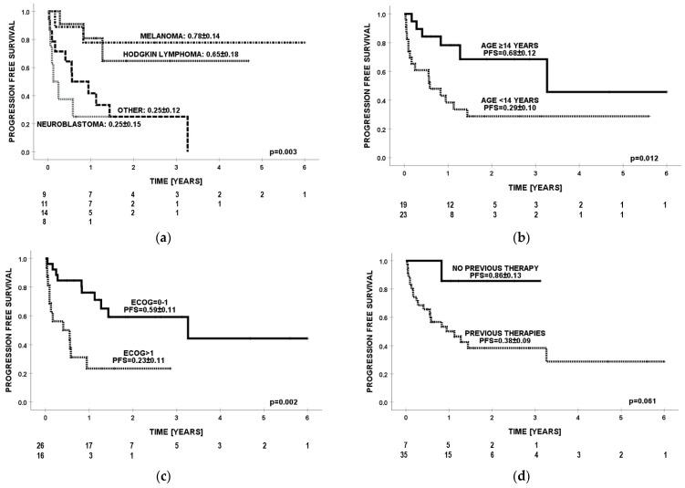
The indications for treatment with anti-PD1 were as follows: Hodgkin lymphoma (11); malignant skin melanoma (9); neuroblastoma (8); and other malignancies (14). At the end of follow-up, complete remission (CR) was observed in 37.7% (15/42) of children and disease stabilization in 9.5% (4/42), with a mean survival 3.6 (95% CI = 2.6-4.6) years. The best survival (OS = 1.0) was observed in the group of patients with Hodgkin lymphoma. For malignant melanoma of the skin, neuroblastoma, and other rare malignancies, the estimated 3-year OS values were, respectively, 0.78, 0.33, and 0.25 ( = 0.002). The best progression-free survival value (0.78) was observed in the group with malignant melanoma. Significantly better effects of immunotherapy were confirmed in patients ≥ 14 years of age and good overall performance ECOG status. Severe adverse events were observed in 30.9% (13/42) patients.

摘要

背景/目的:免疫检查点抑制剂(ICIs;抗PD1)在儿童癌症治疗中的作用仍在不断发展。这项全国性回顾性研究的目的是评估2015年至2023年期间在波兰儿科肿瘤中心接受治疗的42例中位年龄为13.6岁的各类晚期恶性肿瘤患者使用ICIs的安全性和有效性。

结果

抗PD1治疗的适应症如下:霍奇金淋巴瘤(11例);恶性皮肤黑色素瘤(9例);神经母细胞瘤(8例);以及其他恶性肿瘤(14例)。随访结束时,37.7%(15/42)的儿童达到完全缓解(CR),9.5%(4/42)的儿童病情稳定,平均生存期为3.6年(95%CI = 2.6 - 4.6)。霍奇金淋巴瘤患者组的总生存期最佳(OS = 1.0)。对于皮肤恶性黑色素瘤、神经母细胞瘤和其他罕见恶性肿瘤,估计的3年总生存期值分别为0.7⑧、0.33和0.25(P = 0.002)。恶性黑色素瘤组的无进展生存期最佳值为0.7⑧。在年龄≥14岁且总体表现良好(ECOG状态)的患者中,免疫治疗效果明显更好。30.9%(13/42)的患者出现严重不良事件。

https://cdn.ncbi.nlm.nih.gov/pmc/blobs/a79f/10931151/99919e9a236f/cancers-16-00968-g001.jpg

文献AI研究员

20分钟写一篇综述,助力文献阅读效率提升50倍。

立即体验

用中文搜PubMed

大模型驱动的PubMed中文搜索引擎

马上搜索

文档翻译

学术文献翻译模型,支持多种主流文档格式。

立即体验