Suppr超能文献

阿基仑赛注射液与二线大B细胞淋巴瘤标准治疗的疗效对比:基于代谢肿瘤体积的结果

Axicabtagene ciloleucel vs standard of care in second-line large B-cell lymphoma: outcomes by metabolic tumor volume.

作者信息

Locke Frederick L, Oluwole Olalekan O, Kuruvilla John, Thieblemont Catherine, Morschhauser Franck, Salles Gilles, Rowe Steven P, Vardhanabhuti Saran, Winters Joshua, Filosto Simone, To Christina, Cheng Paul, Schupp Marco, Korn Ronald, Kersten Marie José

机构信息

Department of Blood and Marrow Transplant and Cellular Immunotherapy, Moffitt Cancer Center, Tampa, FL.

Division of Hematology and Oncology, Department of Medicine, Vanderbilt University Cancer Center, Nashville, TN.

出版信息

Blood. 2024 Jun 13;143(24):2464-2473. doi: 10.1182/blood.2023021620.

Abstract

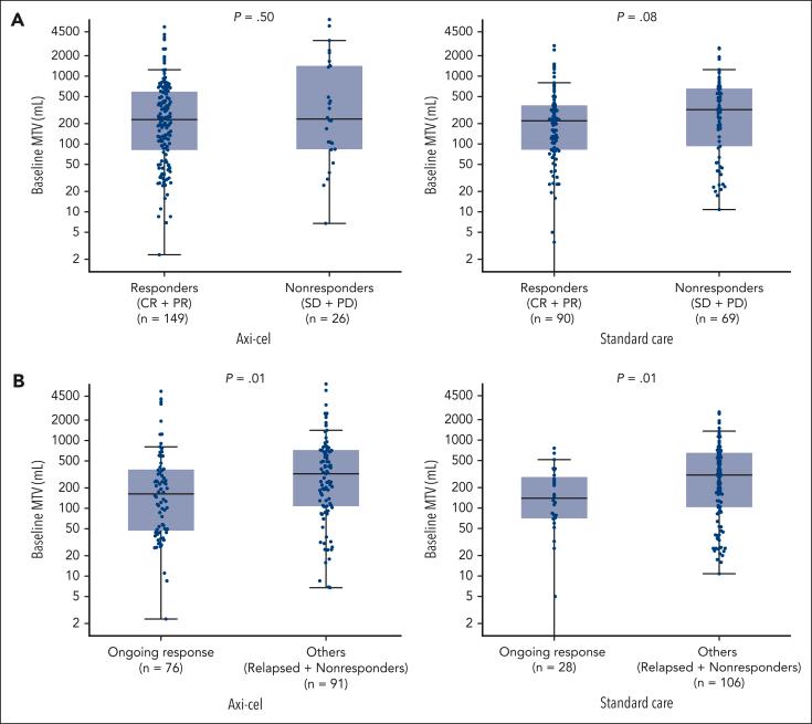
Metabolic tumor volume (MTV) assessed using 2-deoxy-2-[18F]fluoro-d-glucose positron emission tomography, a measure of tumor burden, is a promising prognostic indicator in large B-cell lymphoma (LBCL). This exploratory analysis evaluated relationships between baseline MTV (categorized as low [median or less] vs high [greater than median]) and clinical outcomes in the phase 3 ZUMA-7 study (NCT03391466). Patients with LBCL relapsed within 12 months of or refractory to first-line chemoimmunotherapy were randomized 1:1 to axicabtagene ciloleucel (axi-cel; autologous anti-CD19 chimeric antigen receptor T-cell therapy) or standard care (2-3 cycles of chemoimmunotherapy followed by high-dose chemotherapy with autologous stem cell transplantation in patients who had a response). All P values are descriptive. Within high- and low-MTV subgroups, event-free survival (EFS) and progression-free survival (PFS) were superior with axi-cel vs standard care. EFS in patients with high MTV (vs low MTV) was numerically shorter with axi-cel and was significantly shorter with standard care. PFS was shorter in patients with high MTV vs low MTV in both the axi-cel and standard-care arms, and median MTV was lower in patients in ongoing response at data cutoff vs others. Median MTV was higher in patients treated with axi-cel who experienced grade ≥3 neurologic events or cytokine release syndrome (CRS) than in patients with grade 1/2 or no neurologic events or CRS, respectively. Baseline MTV less than or equal to median was associated with better clinical outcomes in patients receiving axi-cel or standard care for second-line LBCL. The trial was registered at www.clinicaltrials.gov as #NCT03391466.

摘要

使用2-脱氧-2-[¹⁸F]氟-D-葡萄糖正电子发射断层扫描评估的代谢肿瘤体积(MTV)是肿瘤负荷的一种衡量指标,在大B细胞淋巴瘤(LBCL)中是一个很有前景的预后指标。这项探索性分析评估了在3期ZUMA-7研究(NCT03391466)中基线MTV(分为低[中位数及以下]与高[大于中位数])与临床结局之间的关系。在一线化疗免疫治疗12个月内复发或难治的LBCL患者被1:1随机分配至axi-cel(自体抗CD19嵌合抗原受体T细胞疗法)或标准治疗(2 - 3个周期的化疗免疫治疗,随后对有反应的患者进行自体干细胞移植的高剂量化疗)。所有P值均为描述性的。在高MTV和低MTV亚组中,axi-cel组的无事件生存期(EFS)和无进展生存期(PFS)均优于标准治疗组。高MTV患者(与低MTV患者相比)接受axi-cel治疗时EFS在数值上较短,接受标准治疗时则显著较短。在axi-cel组和标准治疗组中,高MTV患者的PFS均短于低MTV患者,在数据截止时仍有反应的患者的中位MTV低于其他患者。接受axi-cel治疗且发生≥3级神经事件或细胞因子释放综合征(CRS)的患者的中位MTV分别高于发生1/2级或无神经事件或CRS的患者。对于接受二线LBCL的axi-cel或标准治疗的患者,基线MTV小于或等于中位数与更好的临床结局相关。该试验已在www.clinicaltrials.gov上注册,编号为#NCT03391466。

https://cdn.ncbi.nlm.nih.gov/pmc/blobs/a98f/11208295/4589e13d6072/BLOOD_BLD-2023-021620-ga1.jpg

文献AI研究员

20分钟写一篇综述,助力文献阅读效率提升50倍。

立即体验

用中文搜PubMed

大模型驱动的PubMed中文搜索引擎

马上搜索

文档翻译

学术文献翻译模型,支持多种主流文档格式。

立即体验