Suppr超能文献

针对未接种疫苗、年轻、有性行为的女性,确定 HPV16 和 HPV18 血清阳性的经验性样本特异性方法。

Empirical sample-specific approaches to define HPV16 and HPV18 seropositivity in unvaccinated, young, sexually active women.

机构信息

Division of Cancer Epidemiology, McGill University, Montreal, Quebec, Canada.

Department of Family and Community Medicine and MAP Centre for Urban Health Solutions, Li Ka Shing Knowledge Institute, St. Michael's Hospital, Unity Health Toronto, Toronto, Ontario, Canada.

出版信息

Microbiol Spectr. 2024 Jun 4;12(6):e0022924. doi: 10.1128/spectrum.00229-24. Epub 2024 Apr 30.

Abstract

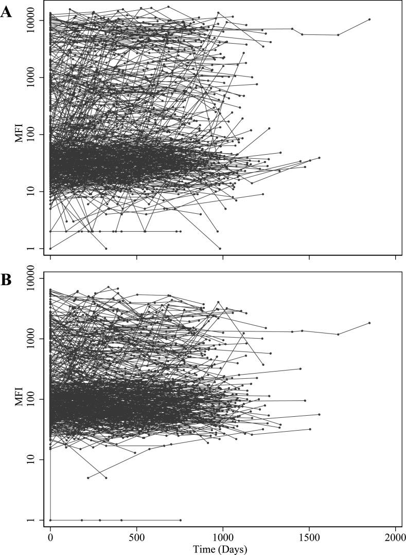
Given low seroconversion rates following human papillomavirus (HPV) infection, fixed external cutoffs may lead to errors in estimating HPV seroprevalence. We evaluated finite mixture modeling (FMM) and group-based trajectory modeling (GBTM) among unvaccinated, sexually active, HPV-exposed women to determine study-specific HPV16 and HPV18 seropositivity thresholds. We included 399 women (aged 18-24 years) enrolled in the HPV Infection and Transmission Among Couples Through Heterosexual Activity (HITCH) cohort study between 2005 and 2011 in Montreal, Canada. Participants' blood samples from up to six visits spanning 2 years were tested by multiplex serology for antibodies [median fluorescence intensity (MFI)] specific to bacterially expressed HPV16 and HPV18 L1 glutathione S-transferase fusion proteins. We applied FMM and GBTM to baseline and longitudinal antibody titer measurements, respectively, to define HPV type-specific seronegative and seropositive distributions. Study-specific thresholds were generated as five standard deviations above the mean seronegative antibody titers, mimicking cutoffs (HPV16: 422 MFI; HPV18: 394 MFI) derived from an external population of sexually inactive, HPV DNA-negative Korean women (aged 15-29 years). Agreement (kappa) of study-specific thresholds was evaluated against external cutoffs. Seroprevalence estimates using FMM (HPV16: 27.5%-43.2%; HPV18: 21.7%-49.5%) and GBTM (HPV16: 11.8%-11.8%; HPV18: 9.9%-13.4%) thresholds exceeded those of external cutoffs (HPV: 10.2%; HPV18: 9.7%). FMM thresholds showed slight-to-moderate agreement with external cutoffs (HPV16: 0.26%-0.46%; HPV18: 0.20%-0.56%), while GBTM thresholds exhibited high agreement (HPV16: 0.92%-0.92%; HPV18: 0.82%-0.99%). Kappa values suggest that GBTM, used for longitudinal serological data, and otherwise FMM, for cross-sectional data, are robust methods for determining the HPV serostatus without prior classification rules.IMPORTANCEWhile human papillomavirus (HPV) seropositivity has been employed as an epidemiologic determinant of the natural history of genital HPV infections, only a fraction of women incidentally infected with HPV respond by developing significant antibody levels. HPV seropositivity is often determined by a dichotomous fixed cutoff based on the seroreactivity of an external population of women presumed as seronegative, given the lack of evidence of HPV exposure. However, considering the variable nature of seroreactivity upon HPV infection, which arguably varies across populations, such externally defined cutoffs may lack specificity to the population of interest, causing inappropriate assessment of HPV seroprevalence and related epidemiologic uses of that information. This study demonstrates that finite mixture modeling (FMM) and group-based trajectory modeling (GBTM) can be used to independently estimate seroprevalence or serve as the basis for defining study-specific seropositivity thresholds without requiring prior subjective assumptions, consequently providing a more apt internally valid discrimination of seropositive from seronegative individuals.

摘要

鉴于人乳头瘤病毒(HPV)感染后血清转化率低,固定的外部截止值可能导致估计 HPV 血清流行率的错误。我们评估了未接种疫苗、有性行为、HPV 暴露的女性中的有限混合模型(FMM)和基于群组的轨迹建模(GBTM),以确定特定于研究的 HPV16 和 HPV18 血清阳性阈值。我们纳入了 399 名年龄在 18-24 岁的女性,她们参加了 2005 年至 2011 年在加拿大蒙特利尔进行的 HPV 感染和通过异性活动传播给伴侣的研究(HITCH)队列研究。参与者在长达两年的六次访问期间的血液样本通过多重血清学检测针对细菌表达的 HPV16 和 HPV18 L1 谷胱甘肽 S-转移酶融合蛋白的抗体[中位荧光强度(MFI)]。我们分别应用 FMM 和 GBTM 对基线和纵向抗体滴度测量进行分析,以定义 HPV 型特异性血清阴性和血清阳性分布。研究特异性阈值是通过将平均血清阴性抗体滴度加上五个标准差生成的,模拟了来自无性行为、HPV DNA 阴性的韩国女性(年龄在 15-29 岁)外部人群的截止值(HPV16:422 MFI;HPV18:394 MFI)。我们评估了研究特异性阈值与外部截止值的一致性(kappa)。使用 FMM(HPV16:27.5%-43.2%;HPV18:21.7%-49.5%)和 GBTM(HPV16:11.8%-11.8%;HPV18:9.9%-13.4%)阈值的血清流行率估计值高于外部截止值(HPV:10.2%;HPV18:9.7%)。FMM 阈值与外部截止值具有轻微到中度的一致性(HPV16:0.26%-0.46%;HPV18:0.20%-0.56%),而 GBTM 阈值具有高度一致性(HPV16:0.92%-0.92%;HPV18:0.82%-0.99%)。Kappa 值表明,GBTM 可用于确定 HPV 血清状态,而 FMM 可用于确定 HPV 血清状态,无需事先进行分类规则,这两种方法都是用于确定 HPV 血清状态的稳健方法。

重要性 虽然 HPV 血清阳性已被用作生殖器 HPV 感染自然史的流行病学决定因素,但只有一小部分偶然感染 HPV 的女性会产生显著的抗体水平。HPV 血清阳性通常是通过基于外部人群的血清反应性的二分固定截止值来确定的,这些外部人群被认为是血清阴性的,因为缺乏 HPV 暴露的证据。然而,考虑到 HPV 感染后血清反应性的变化性质,这种变化性质在不同人群中可能有所不同,因此这种外部定义的截止值可能缺乏对目标人群的特异性,导致 HPV 血清流行率的不适当评估和对该信息的相关流行病学使用。这项研究表明,有限混合模型(FMM)和基于群组的轨迹建模(GBTM)可以独立用于估计血清流行率或作为定义研究特异性血清阳性阈值的基础,而无需事先进行主观假设,从而为血清阳性和血清阴性个体提供更准确的内部有效性区分。

https://cdn.ncbi.nlm.nih.gov/pmc/blobs/9a73/11324019/9a0998b0a530/spectrum.00229-24.f001.jpg

文献AI研究员

20分钟写一篇综述,助力文献阅读效率提升50倍。

立即体验

用中文搜PubMed

大模型驱动的PubMed中文搜索引擎

马上搜索

文档翻译

学术文献翻译模型,支持多种主流文档格式。

立即体验