Suppr超能文献

气象因素和空气污染物对干眼症的不良影响:一项基于医院的回顾性队列研究。

Adverse effects of meteorological factors and air pollutants on dry eye disease: a hospital-based retrospective cohort study.

作者信息

Choi Yun-Hee, Song Myung-Sun, Lee Yunjin, Paik Hae Jung, Song Jong Suk, Choi Yoon-Hyeong, Kim Dong Hyun

机构信息

Department of Ophthalmology, Korea University College of Medicine, 73, Goryeodae-ro, Seongbuk-gu, Seoul, 02841, South Korea.

School of Health and Environmental Science, Korea University, Seoul, South Korea.

出版信息

Sci Rep. 2024 Aug 1;14(1):17776. doi: 10.1038/s41598-024-68070-x.

Abstract

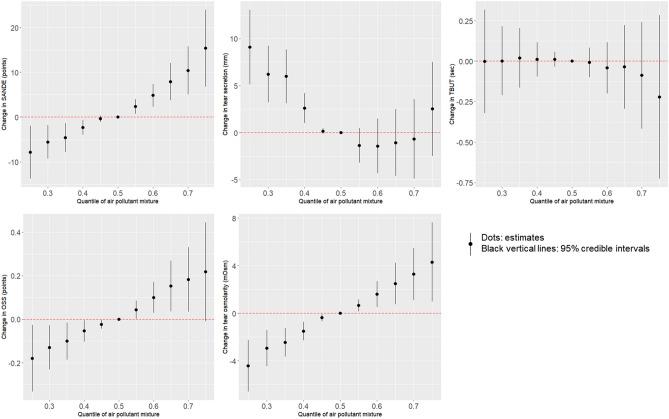
Although previous studies have suggested that meteorological factors and air pollutants can cause dry eye disease (DED), few clinical cohort studies have determined the individual and combined effects of these factors on DED. We investigated the effects of meteorological factors (humidity and temperature) and air pollutants [particles with a diameter ≤ 2.5 m (PM), ozone (O), nitrogen dioxide (NO), and carbon monoxide (CO)] on DED. A retrospective cohort study was conducted on 53 DED patients. DED was evaluated by Symptom Assessment in Dry Eye (SANDE), tear secretion, tear film break-up time (TBUT), ocular staining score (OSS), and tear osmolarity. To explore the individual, non-linear, and joint associations between meteorological factors, air pollutants, and DED parameters, we used generalized linear mixed model (GLMM) and Bayesian kernel machine regression (BKMR). After adjusting for all covariates, lower relative humidity or temperature was associated with a higher SANDE (p < 0.05). Higher PM, O, and NO levels were associated with higher SANDE and tear osmolarity (p < 0.05). Higher O levels were associated with lower tear secretion and TBUT, whereas higher NO levels were associated with higher OSS (p < 0.05). BKMR analyses indicated that a mixture of meteorological factors and air pollutants was significantly associated with increased SANDE, OSS, tear osmolarity, and decreased tear secretion.

摘要

尽管先前的研究表明气象因素和空气污染物可导致干眼病(DED),但很少有临床队列研究确定这些因素对干眼病的单独及联合影响。我们调查了气象因素(湿度和温度)和空气污染物[直径≤2.5微米的颗粒物(PM)、臭氧(O₃)、二氧化氮(NO₂)和一氧化碳(CO)]对干眼病的影响。对53例干眼病患者进行了一项回顾性队列研究。通过干眼症状评估(SANDE)、泪液分泌、泪膜破裂时间(TBUT)、眼表染色评分(OSS)和泪液渗透压来评估干眼病。为了探究气象因素、空气污染物与干眼病参数之间的个体、非线性和联合关联,我们使用了广义线性混合模型(GLMM)和贝叶斯核机器回归(BKMR)。在对所有协变量进行调整后,较低的相对湿度或温度与较高的SANDE相关(p<0.05)。较高的PM、O₃和NO₂水平与较高的SANDE和泪液渗透压相关(p<0.

https://cdn.ncbi.nlm.nih.gov/pmc/blobs/3745/11294595/1085439961a5/41598_2024_68070_Fig1_HTML.jpg

文献AI研究员

20分钟写一篇综述,助力文献阅读效率提升50倍。

立即体验

用中文搜PubMed

大模型驱动的PubMed中文搜索引擎

马上搜索

文档翻译

学术文献翻译模型,支持多种主流文档格式。

立即体验