Suppr超能文献

那不勒斯预后评分:三阴性乳腺癌患者生存的新型预测指标

Naples Prognostic Score: A Novel Predictor of Survival in Patients with Triple-Negative Breast Cancer.

作者信息

Qiu Yu, Chen Yan, Shen Haoyang, Yan Shuixin, Li Jiadi, Wu Weizhu

机构信息

The Affiliated Lihuili Hospital, Ningbo University, Ningbo, 315000, People's Republic of China.

Health Science Center, Ningbo University, Ningbo, Zhejiang, 315000, People's Republic of China.

出版信息

J Inflamm Res. 2024 Aug 8;17:5253-5269. doi: 10.2147/JIR.S472917. eCollection 2024.

Abstract

PURPOSE

This study investigated the correlation between the Naples prognostic score (NPS), clinicopathological traits, and the postoperative prognoses of patients with triple-negative breast cancer (TNBC). Based on NPS, a predictive nomogram was developed to estimate the long-term survival probabilities of patients with TNBC post-surgery.

PATIENTS AND METHODS

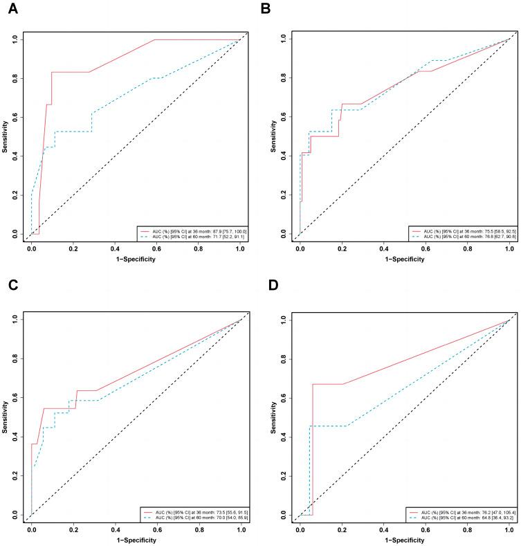
We retrospectively examined the clinical records of 223 women with TNBC treated at Ningbo Medical Center, Lihuili Hospital between January 1, 2016 and December 31, 2020. Blood tests and biochemical analyses were conducted before surgery. The prognostic nutritional index (PNI), controlling nutritional status (CONUT), neutrophil-to-lymphocyte ratio, platelet-to-lymphocyte ratio, and NPS were determined based on blood-related markers. A Kaplan-Meier survival analysis assessed the association between NPS, PNI, CONUT score, overall survival (OS), and breast cancer-specific survival (BCSS). Predictive accuracy was evaluated using the area under the receiver operating characteristic curve (AUC) and C index. The patients were randomly divided into the training and the validation group (6:4 ratio). A nomogram prediction model was developed and evaluated using the R Software for Statistical Computing (RMS) package.

RESULTS

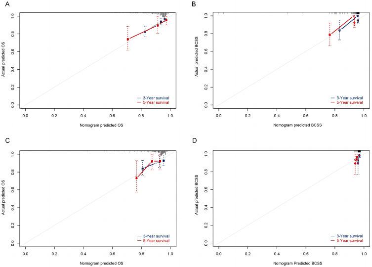
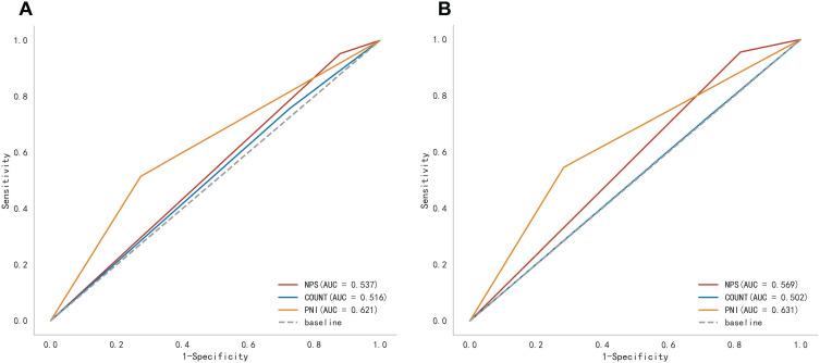
NPS outperformed other scores in predicting inflammation outcomes. Patients with an elevated NPS had a poorer prognosis (P<0.001). Lymph node ratio (LNR), surgical method, postoperative chemotherapy, and NPS independently predicted OS, whereas M stage, LNR, and NPS independently predicted BCSS outcome. The OS and BCSS predicted by the nomogram model aligned well with the actual OS and BCSS. The decision curve analysis showed significant clinical utility for the nomogram model.

CONCLUSION

In this study, NPS was an important prognostic indicator for patients with TNBC. The nomogram prognostic model based on NPS outperformed other prognostic scores for predicting patient prognosis. The model demonstrated a clear stratification ability for patient prognosis, which emphasized the potential benefits of early intervention for high-risk patients.

摘要

目的

本研究调查了那不勒斯预后评分(NPS)、临床病理特征与三阴性乳腺癌(TNBC)患者术后预后之间的相关性。基于NPS,开发了一种预测列线图,以估计TNBC患者术后的长期生存概率。

患者与方法

我们回顾性检查了2016年1月1日至2020年12月31日在宁波市医疗中心李惠利医院接受治疗的223例TNBC女性患者的临床记录。术前进行了血液检查和生化分析。基于血液相关标志物确定预后营养指数(PNI)、控制营养状况(CONUT)、中性粒细胞与淋巴细胞比值、血小板与淋巴细胞比值以及NPS。采用Kaplan-Meier生存分析评估NPS、PNI、CONUT评分、总生存期(OS)和乳腺癌特异性生存期(BCSS)之间的关联。使用受试者操作特征曲线(AUC)下面积和C指数评估预测准确性。患者被随机分为训练组和验证组(比例为6:4)。使用R统计计算软件(RMS)包开发并评估列线图预测模型。

结果

NPS在预测炎症结局方面优于其他评分。NPS升高的患者预后较差(P<0.001)。淋巴结比率(LNR)、手术方式、术后化疗和NPS独立预测OS,而M分期、LNR和NPS独立预测BCSS结局。列线图模型预测的OS和BCSS与实际的OS和BCSS吻合良好。决策曲线分析显示列线图模型具有显著的临床实用性。

结论

在本研究中,NPS是TNBC患者的重要预后指标。基于NPS的列线图预后模型在预测患者预后方面优于其他预后评分。该模型对患者预后具有明确的分层能力,强调了对高危患者进行早期干预的潜在益处。

https://cdn.ncbi.nlm.nih.gov/pmc/blobs/6349/11318610/89135b592b07/JIR-17-5253-g0001.jpg

文献AI研究员

20分钟写一篇综述,助力文献阅读效率提升50倍。

立即体验

用中文搜PubMed

大模型驱动的PubMed中文搜索引擎

马上搜索

文档翻译

学术文献翻译模型,支持多种主流文档格式。

立即体验