Suppr超能文献

. 中Whirly家族基因的全基因组鉴定及分子进化史

Genome-Wide Identification and Molecular Evolutionary History of the Whirly Family Genes in .

作者信息

Wang Long, Zhao Zhi, Li Huaxin, Pei Damei, Ma Qianru, Huang Zhen, Wang Hongyan, Xiao Lu

机构信息

Academy of Agricultural and Forestry Sciences, Qinghai University, Xining 810016, China.

Laboratory for Research and Utilization of Qinghai Tibet Plateau Germplasm Resources, Xining 810016, China.

出版信息

Plants (Basel). 2024 Aug 13;13(16):2243. doi: 10.3390/plants13162243.

Abstract

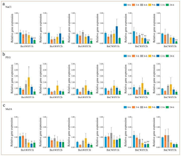
Whirly transcription factors are unique to plants, playing pivotal roles in managing leaf senescence and DNA repair. While present in various species, their identification in L. (. ) and their differences during hybridization and polyploidy has been elusive. Addressing this, our study delves into the functional and evolutionary aspects of the Whirly gene family during the emergence of , applying bioinformatics and comparative genomics. We identified six genes in . In L. (), three genes were identified, while four were found in L. (). The results show that the identified genes not only have homology but also share the same chromosomal positions. Phylogenetic analysis indicates that genes in monocots and dicots exhibit high conservation. In the evolutionary process, the Whirly gene family in . experienced events of intron/exon loss. Collinearity insights point to intense purifying selection post-duplication. Promoter regions housed diverse cis-acting elements linked to photoresponse, anaerobic initiation, and methyl jasmonate responsiveness. Notably, elements tied to abscisic acid signaling and meristem expression were prominent in diploid ancestors but subdued in tetraploid . . Tissue-specific expression unveiled analogous patterns within subfamily genes. Subsequent qRT-PCR analysis spotlighted 's potential significance in abiotic stress response, particularly drought. These findings can be used as theoretical foundations to understand the functions and effects of the Whirly gene family in . , providing references for the molecular mechanism of gene evolution between this species and its diploid ancestors.

摘要

Whirly转录因子是植物所特有的,在叶片衰老和DNA修复管理中发挥着关键作用。虽然存在于各种物种中,但它们在L.(.)中的鉴定以及在杂交和多倍体过程中的差异一直难以捉摸。为了解决这个问题,我们的研究运用生物信息学和比较基因组学,深入探讨了Whirly基因家族在.出现过程中的功能和进化方面。我们在.中鉴定出六个基因。在L.()中,鉴定出三个基因,而在L.()中发现了四个基因。结果表明,鉴定出的基因不仅具有同源性,而且在染色体位置上也相同。系统发育分析表明,单子叶植物和双子叶植物中的基因表现出高度保守性。在进化过程中,.中的Whirly基因家族经历了内含子/外显子丢失事件。共线性分析表明,复制后存在强烈的纯化选择。启动子区域包含与光响应、厌氧起始和茉莉酸甲酯响应相关的多种顺式作用元件。值得注意的是,与脱落酸信号传导和分生组织表达相关的元件在二倍体祖先中很突出,但在四倍体.中则减弱。组织特异性表达揭示了亚家族基因内的类似模式。随后的qRT-PCR分析突出了.在非生物胁迫响应,特别是干旱响应中的潜在重要性。这些发现可作为理解.中Whirly基因家族功能和作用的理论基础,为该物种与其二倍体祖先之间基因进化的分子机制提供参考。

https://cdn.ncbi.nlm.nih.gov/pmc/blobs/a8d2/11359715/787f5eec0109/plants-13-02243-g001.jpg

文献AI研究员

20分钟写一篇综述,助力文献阅读效率提升50倍。

立即体验

用中文搜PubMed

大模型驱动的PubMed中文搜索引擎

马上搜索

文档翻译

学术文献翻译模型,支持多种主流文档格式。

立即体验