Suppr超能文献

运用生物信息学分析鉴定肺癌的潜在核心基因和治疗性中药化合物。

Identification of potential core genes in lung cancer and therapeutic traditional Chinese medicine compounds using bioinformatics analysis.

机构信息

The Second Affiliated Hospital of Jinzhou Medical University, Jinzhou, China.

Department of Histology and Embryology, College of Basic Medical Science, Jinzhou Medical University, Jinzhou, Liaoning, P.R. China.

出版信息

Medicine (Baltimore). 2024 Sep 27;103(39):e39862. doi: 10.1097/MD.0000000000039862.

Abstract

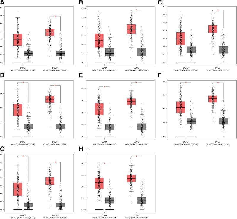
Lung cancer (LC) remains the leading cause of cancer-related death. We identified potential therapeutic targets and traditional Chinese medicine (TCM) compounds for LC treatment. GSE43346 and GSE18842 were derived from the Gene Expression Omnibus (GEO) database and used to identify differentially expressed genes (DEGs). Gene Ontology and Kyoto Encyclopedia of Genes and Genomes pathway enrichment analyses were performed using The Database for Annotation, Visualization and Integrated Discovery (DAVID). Protein-protein interactions were analyzed using STRING and Cytoscape software. Hub gene expression was validated using Gene Expression Profiling Interactive Analysis and the Human Protein Atlas. Kaplan-Meier survival analysis was conducted to evaluate the prognostic value of hub genes in patients with LC. Therapeutic TCM compounds were screened using the Comparative Toxicogenomics Database, and DEGs were largely enriched in biological processes, including cell division and mitotic nuclear division, such as the cell cycle and p53 signaling pathways. Elevated expression of hub genes was observed in LC samples. Overexpression of CDC20, CCNB2, and TOP2A is an unfavorable prognostic factor for postprogressive survival in patients with LC. Paclitaxel, quercetin, and rotenone have been identified as active substances in TCM. CDC20, CCNB2, and TOP2A are novel hub genes associated with LC. Paclitaxel, quercetin, and rotenone can be used as therapeutic agents in TCM.

摘要

肺癌 (LC) 仍然是癌症相关死亡的主要原因。我们确定了治疗 LC 的潜在治疗靶点和中药 (TCM) 化合物。GSE43346 和 GSE18842 源自基因表达综合数据库 (GEO),用于鉴定差异表达基因 (DEG)。使用数据库注释、可视化和综合发现 (DAVID) 进行基因本体论和京都基因与基因组百科全书通路富集分析。使用 STRING 和 Cytoscape 软件分析蛋白质-蛋白质相互作用。使用基因表达谱交互分析和人类蛋白质图谱验证枢纽基因的表达。进行 Kaplan-Meier 生存分析以评估 LC 患者中枢纽基因的预后价值。使用比较毒理学基因组数据库筛选治疗性 TCM 化合物,并且 DEG 主要富集在生物学过程中,包括细胞分裂和有丝分裂核分裂,如细胞周期和 p53 信号通路。在 LC 样本中观察到枢纽基因的高表达。CDC20、CCNB2 和 TOP2A 的过表达是 LC 患者后进展生存的不利预后因素。紫杉醇、槲皮素和鱼藤酮已被确定为 TCM 中的活性物质。CDC20、CCNB2 和 TOP2A 是与 LC 相关的新型枢纽基因。紫杉醇、槲皮素和鱼藤酮可作为 TCM 中的治疗剂。

https://cdn.ncbi.nlm.nih.gov/pmc/blobs/ebb0/11441908/09f9563f3da7/medi-103-e39862-g001.jpg

文献AI研究员

20分钟写一篇综述,助力文献阅读效率提升50倍。

立即体验

用中文搜PubMed

大模型驱动的PubMed中文搜索引擎

马上搜索

文档翻译

学术文献翻译模型,支持多种主流文档格式。

立即体验