Suppr超能文献

铜对G20生物膜形成的影响。

Influence of Copper on G20 Biofilm Formation.

作者信息

Thakur Payal, Gopalakrishnan Vinoj, Saxena Priya, Subramaniam Mahadevan, Goh Kian Mau, Peyton Brent, Fields Matthew, Sani Rajesh Kumar

机构信息

Department of Chemical and Biological Engineering, South Dakota School of Mines and Technology, Rapid City, SD 57701, USA.

2-Dimensional Materials for Biofilm Engineering, Science and Technology, South Dakota School of Mines and Technology, Rapid City, SD 57701, USA.

出版信息

Microorganisms. 2024 Aug 23;12(9):1747. doi: 10.3390/microorganisms12091747.

Abstract

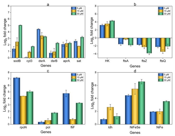
Copper is known to have toxic effects on bacterial growth. This study aimed to determine the influence of copper ions on G20 biofilm formation in a lactate-C medium supplemented with variable copper ion concentrations. OA G20, when grown in media supplemented with high copper ion concentrations of 5, 15, and 30 µM, exhibited inhibited growth in its planktonic state. Conversely, under similar copper concentrations, OA G20 demonstrated enhanced biofilm formation on glass coupons. Microscopic studies revealed that biofilms exposed to copper stress demonstrated a change in cellular morphology and more accumulation of carbohydrates and proteins than controls. Consistent with these findings, sulfur (, , , ) and electron transport (, , , 3) genes, polysaccharide synthesis (), and genes involved in stress response () were significantly upregulated in copper-induced biofilms, while genes (, , ) related to cellular division were negatively regulated compared to controls. These results indicate that the presence of copper ions triggers alterations in cellular morphology and gene expression levels in OA G20, impacting cell attachment and EPS production. This adaptation, characterized by increased biofilm formation, represents a crucial strategy employed by OA G20 to resist metal ion stress.

摘要

已知铜对细菌生长具有毒性作用。本研究旨在确定在添加不同浓度铜离子的乳酸 - C培养基中,铜离子对G20生物膜形成的影响。当OA G20在添加了5、15和30 μM高浓度铜离子的培养基中生长时,其浮游状态下的生长受到抑制。相反,在类似的铜浓度下,OA G20在玻璃片上表现出增强的生物膜形成。显微镜研究表明,暴露于铜胁迫的生物膜显示出细胞形态的变化,并且与对照相比,碳水化合物和蛋白质的积累更多。与这些发现一致,在铜诱导的生物膜中,硫(……)和电子传递(……,3)基因、多糖合成(……)以及参与应激反应(……)的基因显著上调,而与细胞分裂相关的基因(……)与对照相比受到负调控。这些结果表明,铜离子的存在会引发OA G20细胞形态和基因表达水平的改变,影响细胞附着和EPS产生。这种以生物膜形成增加为特征的适应性代表了OA G20用于抵抗金属离子胁迫的关键策略。

https://cdn.ncbi.nlm.nih.gov/pmc/blobs/b859/11434458/14c4617d9ee6/microorganisms-12-01747-g001a.jpg

文献AI研究员

20分钟写一篇综述,助力文献阅读效率提升50倍。

立即体验

用中文搜PubMed

大模型驱动的PubMed中文搜索引擎

马上搜索

文档翻译

学术文献翻译模型,支持多种主流文档格式。

立即体验